Open Access

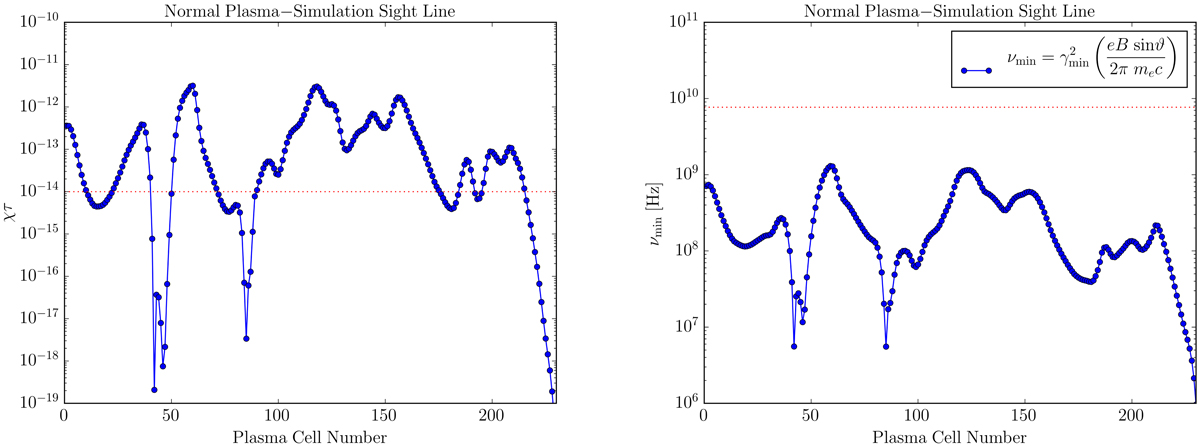
Fig. E.1.

image

Download original image

Left panel: variation of the term χτ (synchrotron opacity) within the normal plasma (e − p+) jet along the sightline indicated by the red dot in the lower left panel of Fig. 4. The red dashed line indicates a numerical limit below which we enforce the criterion directly in our PIC ray-tracing calculations. Right panel: variation of the minimum frequency (νmin) within the normal plasma (e − p+) jet along the sightline indicated by the red dot in the lower left panel of Fig. 4. The red dashed line indicates the emitted frequency νem in the plasma frame corresponding to νobs = 230 GHz. In both panels, the radiative transfer progresses from left to right: starting on the far side of the jet relative to the observer (cell 0), and then advancing through the plasma toward the near side of the jet (cell 240).

Current usage metrics show cumulative count of Article Views (full-text article views including HTML views, PDF and ePub downloads, according to the available data) and Abstracts Views on Vision4Press platform.

Data correspond to usage on the plateform after 2015. The current usage metrics is available 48-96 hours after online publication and is updated daily on week days.

Initial download of the metrics may take a while.