Open Access

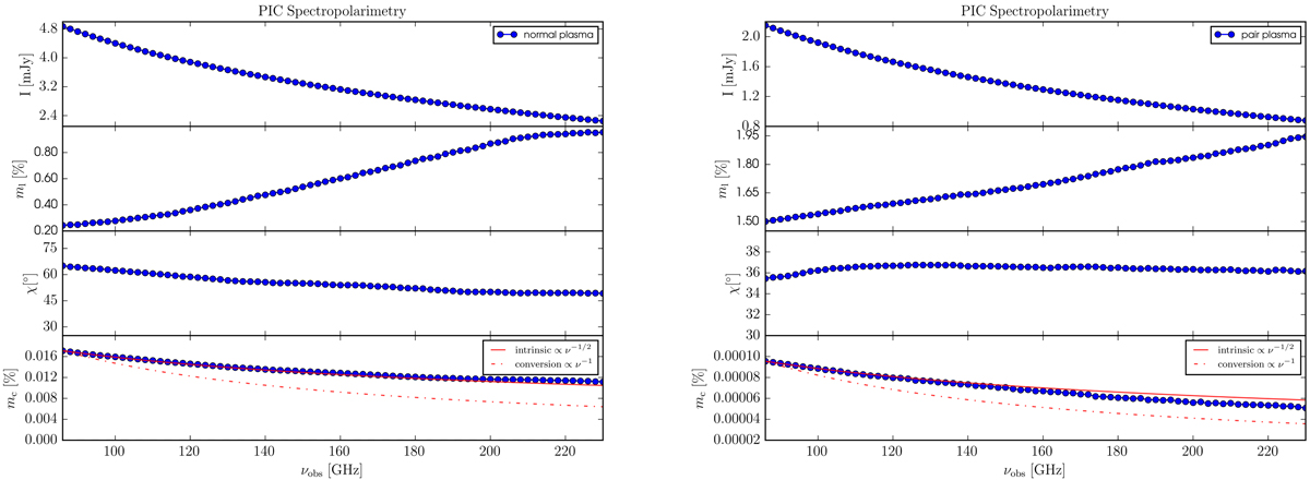
Fig. F.1.

image

Download original image

Left panel: spectropolarimetry of the normal plasma jet: (top) integrated total intensity – I, (upper middle) integrated fractional linear polarization – ml, (lower middle) integrated EVPA – χ, and (bottom) integrated fractional circular polarization – mc, over the frequency range νobs = 86 − 230 GHz. Right panel: corresponding spectropolarimetry of the pair plasma jet. The solid red and dashed red lines in the lower panels highlight theoretical predictions for the frequency dependence of mc(ν) in the limits of intrinsic emission and emission dominated by Faraday conversion in the high-rotation limit, respectively.

Current usage metrics show cumulative count of Article Views (full-text article views including HTML views, PDF and ePub downloads, according to the available data) and Abstracts Views on Vision4Press platform.

Data correspond to usage on the plateform after 2015. The current usage metrics is available 48-96 hours after online publication and is updated daily on week days.

Initial download of the metrics may take a while.