Open Access

Fig. A.1.

image

Download original image

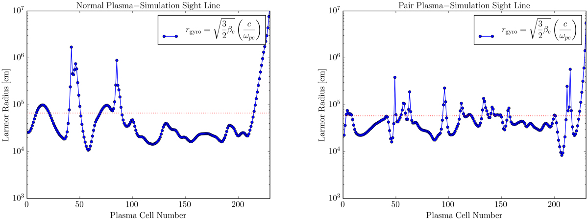
Left panel: variation of the electron Larmor radii (rgyro) within the normal plasma (e − p+) jet along the sightline indicated by the red dot in the lower left panel of Fig. 4. The radiative transfer progresses from left to right: starting on the far side of the jet relative to the observer (cell 0), and then advancing through the jet plasma toward the near side of the jet (cell 240). The red dashed line in each panel demarcates the scaled PIC grid cell size (Δlscale). Right panel: corresponding variation of the pair plasma (e − e+) jet Larmor radii along the sightline indicated by the red dot in the lower right panel of Fig. 4.

Current usage metrics show cumulative count of Article Views (full-text article views including HTML views, PDF and ePub downloads, according to the available data) and Abstracts Views on Vision4Press platform.

Data correspond to usage on the plateform after 2015. The current usage metrics is available 48-96 hours after online publication and is updated daily on week days.

Initial download of the metrics may take a while.