Free Access

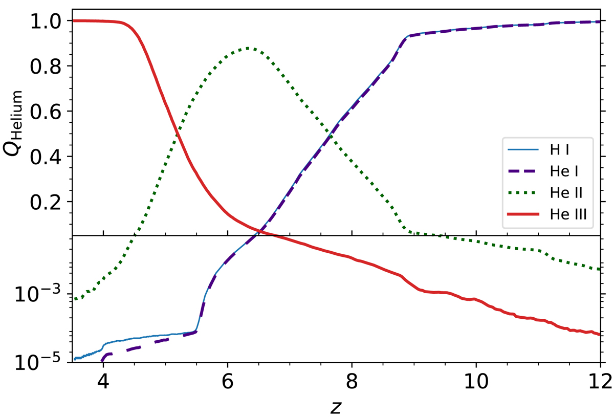
Fig. 18.

image

Download original image

Helium ionization history in the OBELISK volume. The evolution of the neutral fraction of helium, QHe I, follows that of the neutral hydrogen QH I. He II reionization is complete by z ≳ 4: Our region corresponds to one of the growing He III bubbles around massive hosts.

Current usage metrics show cumulative count of Article Views (full-text article views including HTML views, PDF and ePub downloads, according to the available data) and Abstracts Views on Vision4Press platform.

Data correspond to usage on the plateform after 2015. The current usage metrics is available 48-96 hours after online publication and is updated daily on week days.

Initial download of the metrics may take a while.