Free Access

Fig. 6

image

Download original image

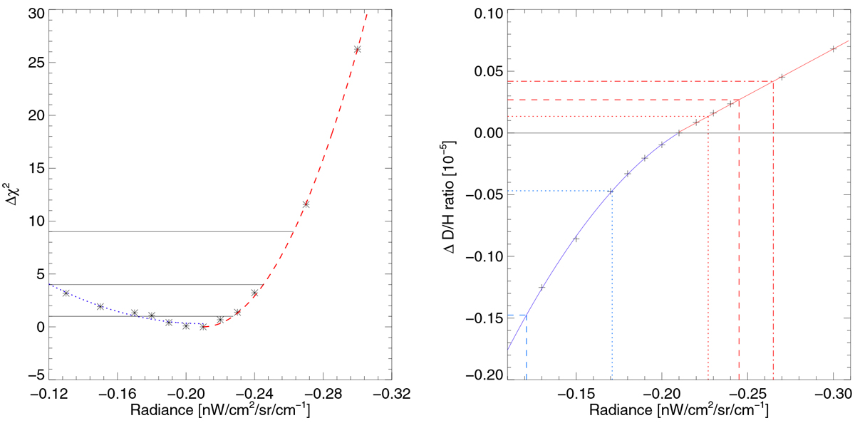
Left: non-reduced Δχ2 values obtained from NEMESIS retrievals of (D/H)CH4 and temperature as a function of radiance offset. The three horizontal lines represent a Δχ2 of 1, 4 and 9, which are equivalent to the σ1, σ2 and σ3 levels, respectively. The dotted blue and dashed red lines mark the quadratic fits to the relevant regions. Right: change in the D/H ratio as a function of radiance offset. Derived values are marked by black crosses for each radiance offset. Quadratic fits to the radiance are marked for the same radiance offsets as in the left panel. For each of the confidence intervals, the radiance shift and its corresponding change in D/H is marked by σ1 dotted (red and blue), σ2 dashed (red and blue) and σ3 dot-dashed (red only).

Current usage metrics show cumulative count of Article Views (full-text article views including HTML views, PDF and ePub downloads, according to the available data) and Abstracts Views on Vision4Press platform.

Data correspond to usage on the plateform after 2015. The current usage metrics is available 48-96 hours after online publication and is updated daily on week days.

Initial download of the metrics may take a while.