Free Access

Fig. 25.

image

Download original image

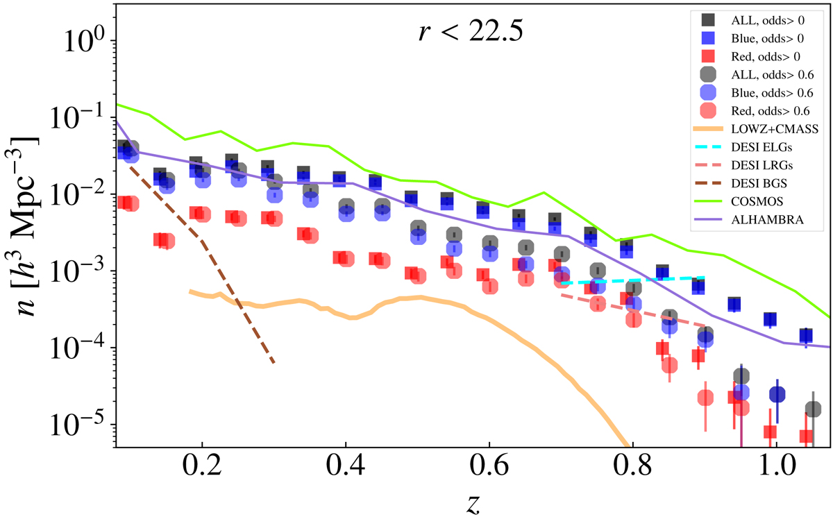
Comoving number density of galaxies in miniJPAS, as a function of redshift. The total galaxy population (dark gray squares) is broken up into star-forming (blue squares) and quiescent (red squares) galaxies. We also apply a cut in photo-z precision (ODDS > 0.6) (circles, with the same color coding as the squares). We show the number density of galaxies for other surveys such as LOWZ+CMASS (orange line), DESI (DESI Collaboration 2016, brown, cyan, and magenta solid lines, respectively, for BCGs, ELGs, and LRGs), ALHAMBRA (Molino et al. 2014, purple line, with an applied cut of F644W < 22.5, where F644W is a medium-band centred at 6440 Å) and COSMOS (Laigle et al. 2016, green line, with an applied cut of r < 22.5).

Current usage metrics show cumulative count of Article Views (full-text article views including HTML views, PDF and ePub downloads, according to the available data) and Abstracts Views on Vision4Press platform.

Data correspond to usage on the plateform after 2015. The current usage metrics is available 48-96 hours after online publication and is updated daily on week days.

Initial download of the metrics may take a while.