Free Access

Fig. A.1.

image

Download original image

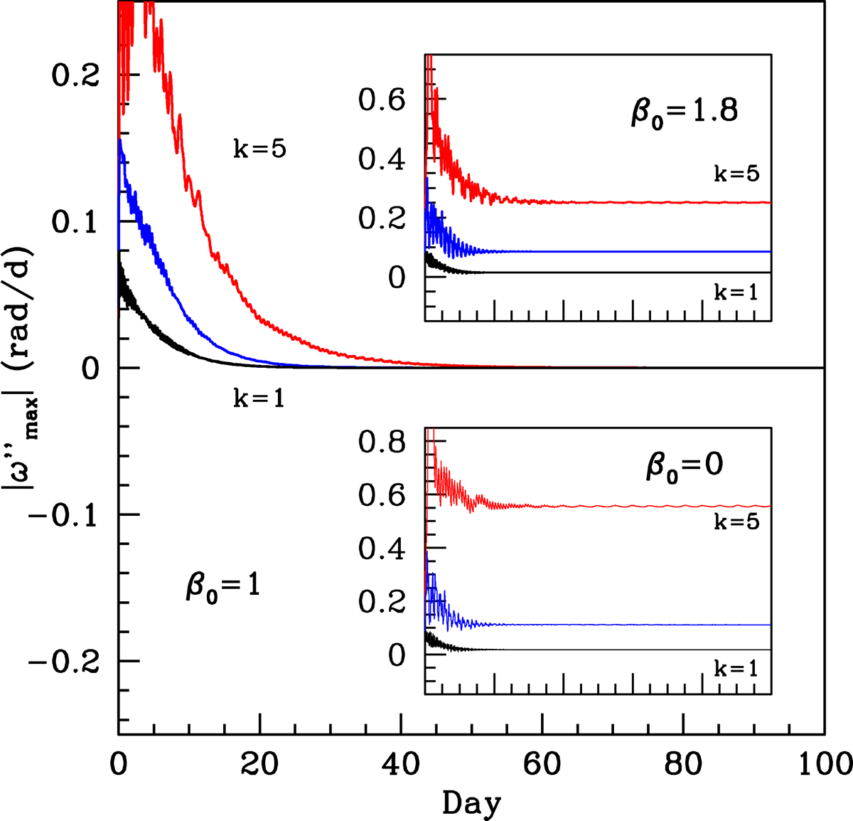
Evolution over time of the maximum angular velocity (absolute value) along the equator in the rest frame of the rotating primary star (S″ coordinate system) at radius 6.6 R (k = 5, red), 6.2 R (k = 4, blue) and 5.0 R (k = 1, black), where k indicates the number assigned to the layer. Initial rotation is uniform. Time zero is the start of the calculation, and the time axis in the three plots is the same. Data are smoothed using a 100-point moving average. Main plot: Synchronous rotation, Case 15 in Table A.1. Inset top: super-synchronous rotation Case 1. Inset bottom: No rotation, Case 17.

Current usage metrics show cumulative count of Article Views (full-text article views including HTML views, PDF and ePub downloads, according to the available data) and Abstracts Views on Vision4Press platform.

Data correspond to usage on the plateform after 2015. The current usage metrics is available 48-96 hours after online publication and is updated daily on week days.

Initial download of the metrics may take a while.