Free Access

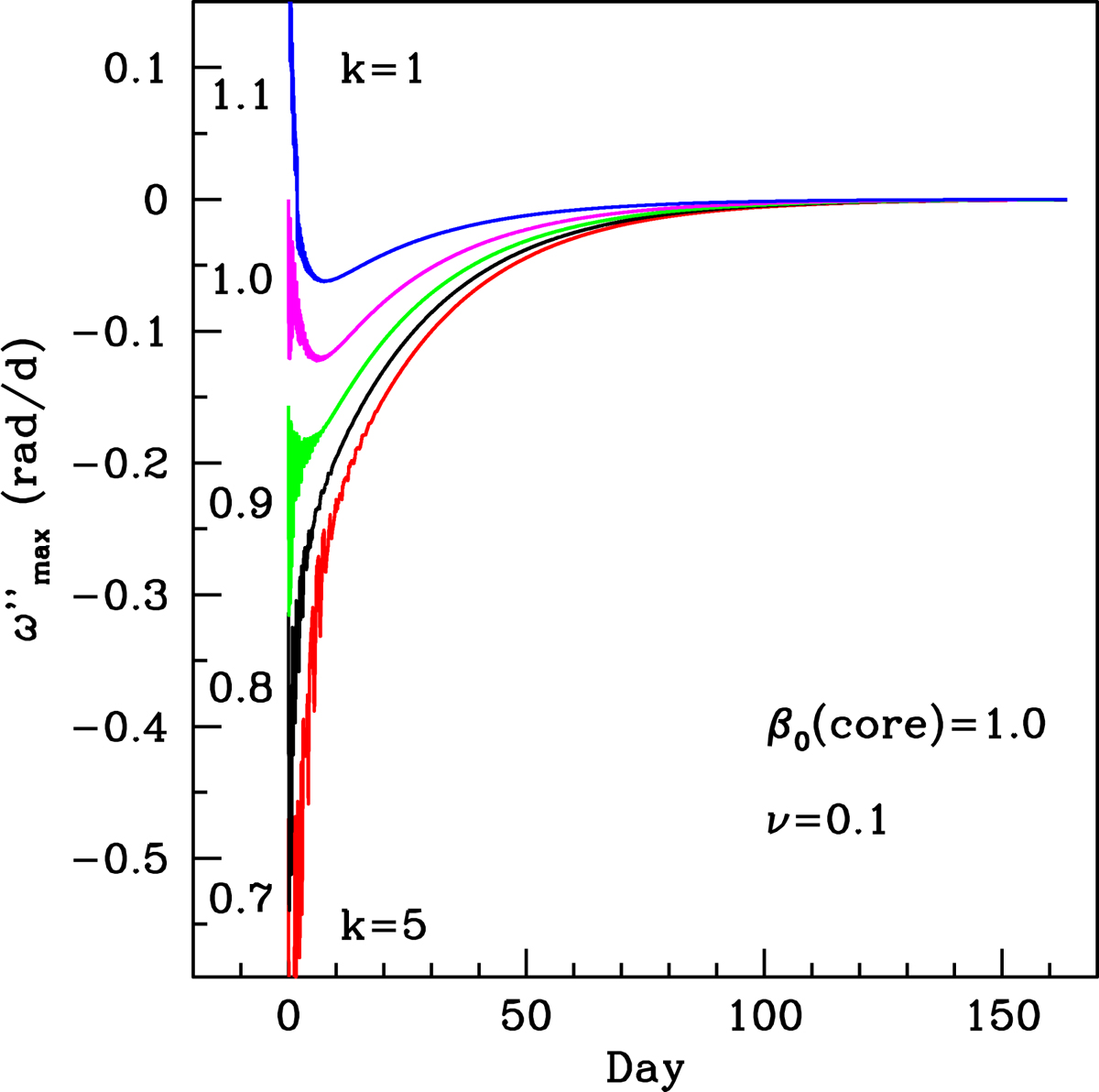
Fig. A.2.

image

Download original image

Evolution over time of the maximum angular velocity at the equator for a core rotation = 1 and an initial envelope differential rotation structure defined by the values listed to the left of the curves (Case 16).

Current usage metrics show cumulative count of Article Views (full-text article views including HTML views, PDF and ePub downloads, according to the available data) and Abstracts Views on Vision4Press platform.

Data correspond to usage on the plateform after 2015. The current usage metrics is available 48-96 hours after online publication and is updated daily on week days.

Initial download of the metrics may take a while.