Free Access

Fig. B.1.

image

Download original image

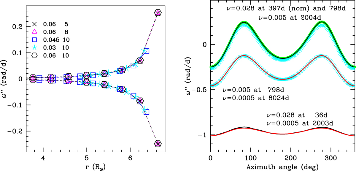
Sample results from tests that were performed to assess the dependence on the layer thickness ΔR/R1, number of layers Nr, and viscosity ν. Left: ω″ profiles for azimuth angles at which the most pronounced velocity gradients occur, computed with the combinations of ΔR/R1, Nr, and ν as indicated by the legend which, from top to bottom, refers to cases to Cases 1, 2, 14, 11 and 3 in Table A.1. The abscissa is the radial distance from the center of the star to the layer midpoint. Right: Surface angular velocity from models holding all input parameters constant except for ν, showing that calculations with smaller values of ν reach the same rotation state as those with larger values, but after longer times. The three curves show: Top: Case 1 at Day 397 (green), Case 6 at Day 798 (black), Case 7 at Day 2004 (cyan). Middle: Case 7 at Day 798 (cyan), Case 8 at Day 8024 (red). Bottom: Case 6 at Day 36 (black), Case 8 at Day 2003 (red).

Current usage metrics show cumulative count of Article Views (full-text article views including HTML views, PDF and ePub downloads, according to the available data) and Abstracts Views on Vision4Press platform.

Data correspond to usage on the plateform after 2015. The current usage metrics is available 48-96 hours after online publication and is updated daily on week days.

Initial download of the metrics may take a while.