Free Access

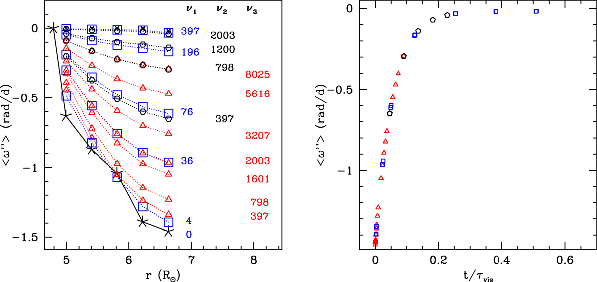
Fig. C.1.

image

Download original image

Evolution from differential rotation to average uniform rotation for three different viscosity values, ν1/(/d) = 0.028 (square), ν2/(/d) = 0.005 (hexagon), and ν3/(/d) = 0.0005 (triangle). Left: Azimuthally averaged angular velocity (⟨ω″⟩ at times (in days) as listed to the right of each curve and in a column corresponding to the ν value. The initial ⟨ω″⟩ profile is indicated with asterisks joined by the continuous line. The time in days for each curve is listed under its corresponding viscosity. The small “x” (top curve) corresponds to Case 1, in which the calculation was started in uniform rotation. Right: Plot showing that all models tend toward average uniform rotation on the viscous timescale, τvis = r2/ν. The ordinate is the ⟨ω″⟩ value of the surface layer, r = 6.6 R. The abscissa is t/τvis where t is the time listed next to each curve in the left hand panel of this figure. Symbols are the same as in the left panel.

Current usage metrics show cumulative count of Article Views (full-text article views including HTML views, PDF and ePub downloads, according to the available data) and Abstracts Views on Vision4Press platform.

Data correspond to usage on the plateform after 2015. The current usage metrics is available 48-96 hours after online publication and is updated daily on week days.

Initial download of the metrics may take a while.