Free Access

Fig. 5.

image

Download original image

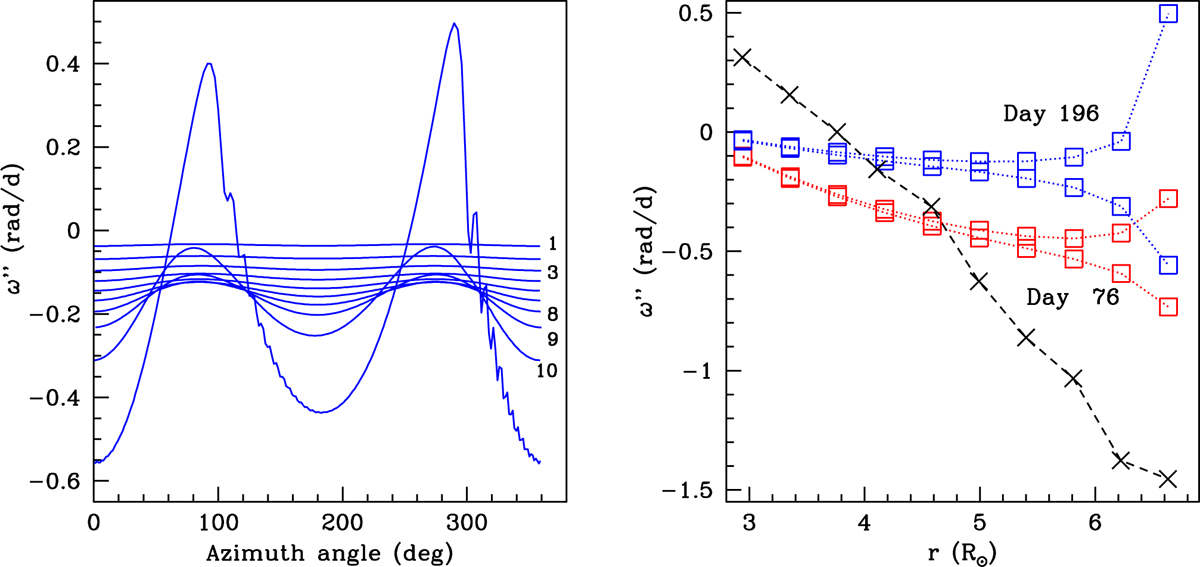
Results for a star with an initial steep differential rotation structure (Case 34). Left: angular velocity at the equator at Day 196. Each curve corresponds to one of the layers, as labeled on the right side of the curves, where 1 corresponds to the deepest layer. Right: ω″ profiles at Day 76 (square) and Day 196 (pentagon) for azimuth angles at which the velocity gradient is greatest. The crosses connected by a dash line indicate the initial ω″ profile at the start of the computation.

Current usage metrics show cumulative count of Article Views (full-text article views including HTML views, PDF and ePub downloads, according to the available data) and Abstracts Views on Vision4Press platform.

Data correspond to usage on the plateform after 2015. The current usage metrics is available 48-96 hours after online publication and is updated daily on week days.

Initial download of the metrics may take a while.