Free Access

Fig. 9.

image

Download original image

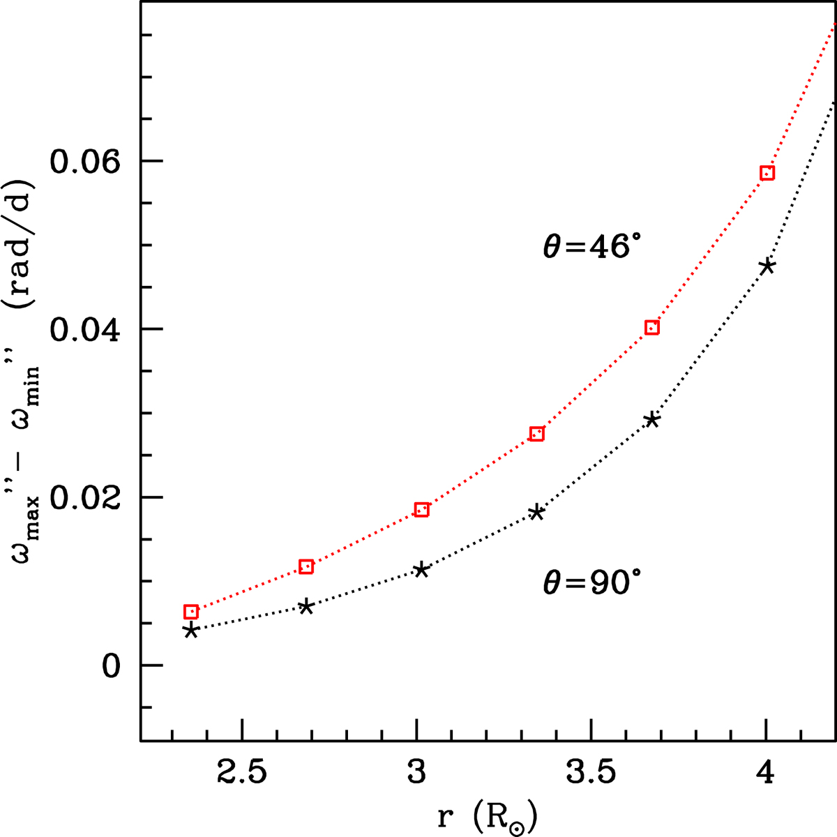
Difference of maximum and minimum angular velocity at the equator and at colatitude 46° from the Case 41 model. Only layers at r < 4.2 R are illustrated. The abscissa is the midpoint radius of the layer.

Current usage metrics show cumulative count of Article Views (full-text article views including HTML views, PDF and ePub downloads, according to the available data) and Abstracts Views on Vision4Press platform.

Data correspond to usage on the plateform after 2015. The current usage metrics is available 48-96 hours after online publication and is updated daily on week days.

Initial download of the metrics may take a while.