Free Access

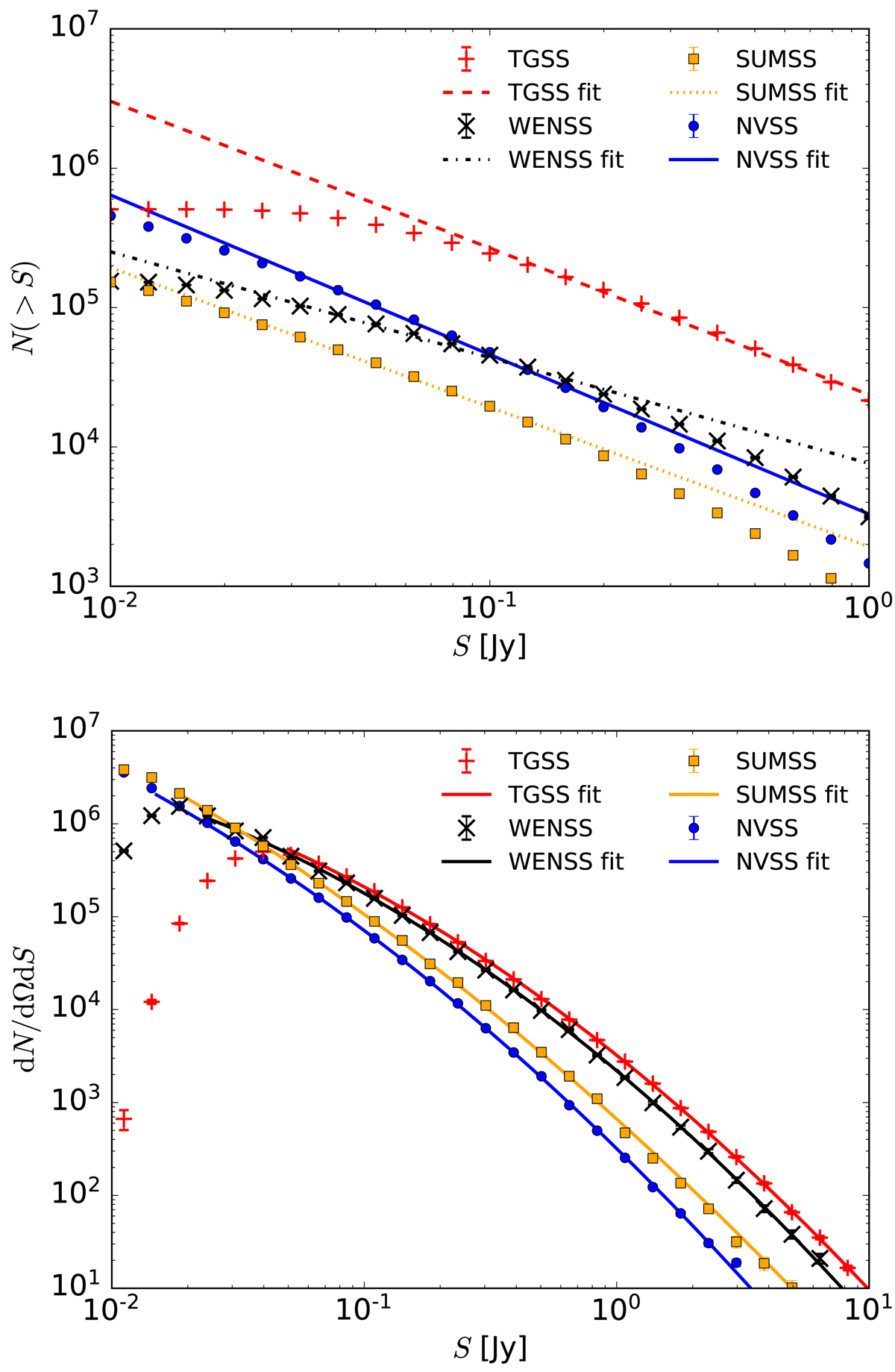
Fig. 7.

image

Download original image

Integral source counts of the TGSS-ADR1, WENSS, SUMSS, and NVSS radio source catalogues, masked with ‘mask d’, as a function of flux density. We fit a function N(> S) ∝ Sx (top) and a more sophisticated function dN/dΩdS ∝ xSx − κlog10(S/Jy) (bottom) to the counts, which have equal step width in log10(S/Jy). The fitted range depends on the flux threshold of the survey and extends for each survey over one decade.

Current usage metrics show cumulative count of Article Views (full-text article views including HTML views, PDF and ePub downloads, according to the available data) and Abstracts Views on Vision4Press platform.

Data correspond to usage on the plateform after 2015. The current usage metrics is available 48-96 hours after online publication and is updated daily on week days.

Initial download of the metrics may take a while.