Free Access

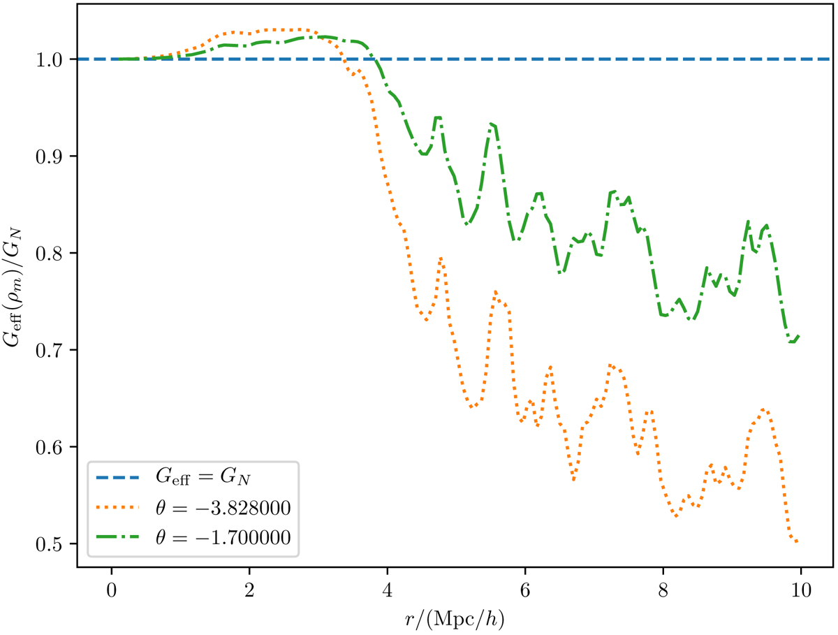
Fig. 6.

image

Download original image

Profile of Geff around an isolated halo. Towards the centre of the halo, where the density is high, Geff approaches GN. On the other hand, in the outskirts of the halo Geff becomes smaller than GN. This effect is stronger for more negative values of θ.

Current usage metrics show cumulative count of Article Views (full-text article views including HTML views, PDF and ePub downloads, according to the available data) and Abstracts Views on Vision4Press platform.

Data correspond to usage on the plateform after 2015. The current usage metrics is available 48-96 hours after online publication and is updated daily on week days.

Initial download of the metrics may take a while.