Open Access

Fig. 10

image

Download original image

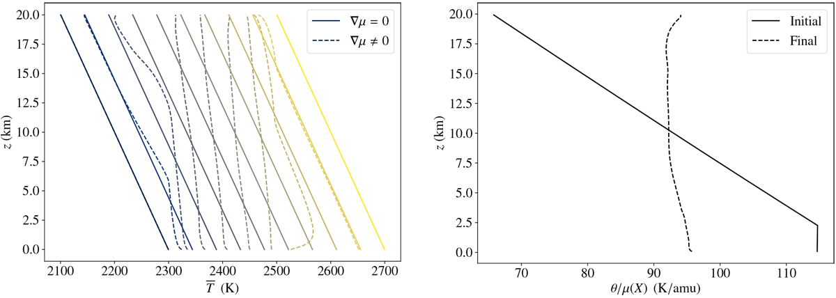
Temperature and potential temperature profiles illustrating the deviation from the adiabatic behaviour. Left: vertical temperature-gradient profiles comparing the adiabatic (solid line) to the diabatic (dashed line), corresponding to the dotted and solid curves, respectively, in the left hand plot. The colouring indicates a separate simulation, each with a different initial deep-atmosphere temperature. Each of these profiles correspond to a data point on the curves in the left hand plot. The central temperatures show the largest deviation from the adiabatic profile. Right: vertical profiles of potential temperature for both the initial and final conditions of the T0 = 2522 K simulation. The impact of the mean-molecular-weight gradient is to homogenise entropy.

Current usage metrics show cumulative count of Article Views (full-text article views including HTML views, PDF and ePub downloads, according to the available data) and Abstracts Views on Vision4Press platform.

Data correspond to usage on the plateform after 2015. The current usage metrics is available 48-96 hours after online publication and is updated daily on week days.

Initial download of the metrics may take a while.