Open Access

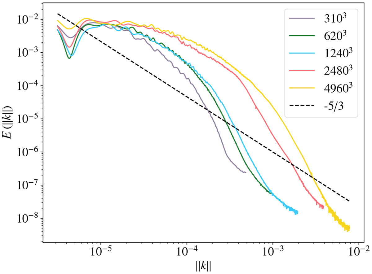
Fig. 9

image

Download original image

Kinetic energy power spectrum for each resolution jump used in the convergence study. The Kolmogorov spectrum, E(k) ∝ k−5∕3, is shown as the dashed black line for illustrative purposes. The E(||k||) is calculated in 2D at the midplane in the z direction. All resolutions converge at small ||k|| (large length scales), indicating that all resolutions capture the large-scale convective behaviour. At large ||k|| (small length scales), we see the cascading of kinetic energy characteristic of turbulence. At this point the different simulations begin to diverge as the additional resolution resolves the smaller scales to differing degrees in the simulations.

Current usage metrics show cumulative count of Article Views (full-text article views including HTML views, PDF and ePub downloads, according to the available data) and Abstracts Views on Vision4Press platform.

Data correspond to usage on the plateform after 2015. The current usage metrics is available 48-96 hours after online publication and is updated daily on week days.

Initial download of the metrics may take a while.