Open Access

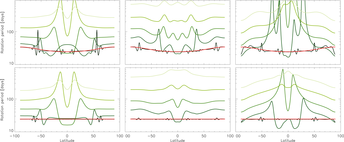
Fig. 2.

image

Download original image

Rotation period as a function of latitude at different solar radii (r = 1.03,  2.0,  4.0,  8.0 and 16 R, from darker to lighter green lines) for the runs represented in Fig. 1 (from left to right: solar minimum, maximum, and decay phase; differential surface rotation on the top row, solid-body rotation on the bottom row). The red curves indicate the rotation period imposed at the surface (Eq. (6), with Ωb and Ωc having values of 0 in the solid rotation case). Rotation periods peak just outside CH–streamer boundaries, as in the UVCS observations by Giordano & Mancuso (2008). Global (resonant) oscillations of closed loops within the streamers are visible within these main peaks, especially in the case with differential rotation. Maximum rotational shearing occurs at mid-altitudes (below maximum streamer height). Wind shear is transmitted upwards, well above the streamer heights, at the vicinity of HCSs. At greater heights, the corona tends to progressively approach solid-body rotation with height within coronal holes (please note that the case in the third column has a polar pseudo-streamer).

Current usage metrics show cumulative count of Article Views (full-text article views including HTML views, PDF and ePub downloads, according to the available data) and Abstracts Views on Vision4Press platform.

Data correspond to usage on the plateform after 2015. The current usage metrics is available 48-96 hours after online publication and is updated daily on week days.

Initial download of the metrics may take a while.