Open Access

Fig. 3.

image

Download original image

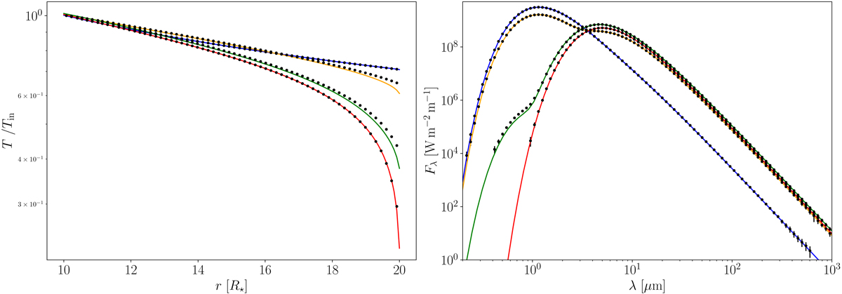
Grey case: normalised temperature profiles (left panel) and emerging fluxes (right panel) for four different opacities τ = 0.01, 1, 10, and 100 (blue, orange, green and red, respectively) with a constant density profile (p = 0). The solid lines represent the FLD curves, and the black dots with the error bars σ indicate the MC profiles from Niccolini & Alcolea (2006).

Current usage metrics show cumulative count of Article Views (full-text article views including HTML views, PDF and ePub downloads, according to the available data) and Abstracts Views on Vision4Press platform.

Data correspond to usage on the plateform after 2015. The current usage metrics is available 48-96 hours after online publication and is updated daily on week days.

Initial download of the metrics may take a while.