Free Access

Fig. 2.

image

Download original image

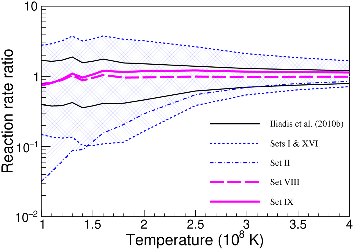
Range of reaction rates explored in the present work (see Tables 1 and B.1) normalized to the median rate of Iliadis et al. (2010b); the low and high rates of Iliadis et al. (2010b) are also shown. The recommended (median) rates from the present work are shown in magenta for Sets VIII and IX, where the subthreshold spin ordering is 3/2+, 1/2+ and 1/2+, 3/2+, respectively. The highest rate (Set XVI) represents a case of maximally constructive interference, while the lowest rates (Sets I and II) are obtained via maximally destructive interference.

Current usage metrics show cumulative count of Article Views (full-text article views including HTML views, PDF and ePub downloads, according to the available data) and Abstracts Views on Vision4Press platform.

Data correspond to usage on the plateform after 2015. The current usage metrics is available 48-96 hours after online publication and is updated daily on week days.

Initial download of the metrics may take a while.