Free Access

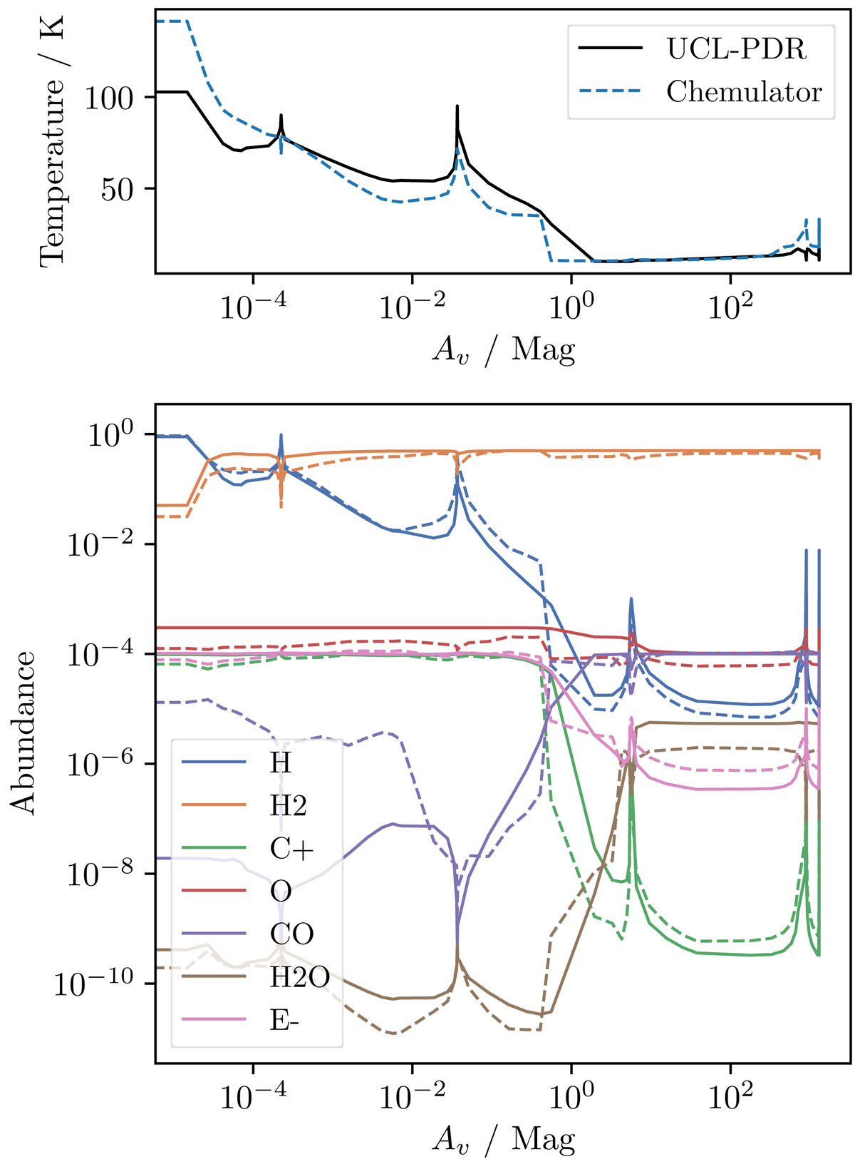
Fig. 11.

image

Download original image

Similar to Fig. 2 but comparing UCL_PDR and Chemulator. Upper: gas temperature against Av for a cloud with sinusoidally varying density calculated by UCL_PDR and emulated by Chemulator. Lower: fractional abundance against Av. In both plots, results from UCL_PDR are plotted as solid lines and equivalent Chemulator values are dashed.

Current usage metrics show cumulative count of Article Views (full-text article views including HTML views, PDF and ePub downloads, according to the available data) and Abstracts Views on Vision4Press platform.

Data correspond to usage on the plateform after 2015. The current usage metrics is available 48-96 hours after online publication and is updated daily on week days.

Initial download of the metrics may take a while.