Free Access

Fig. C.1

image

Download original image

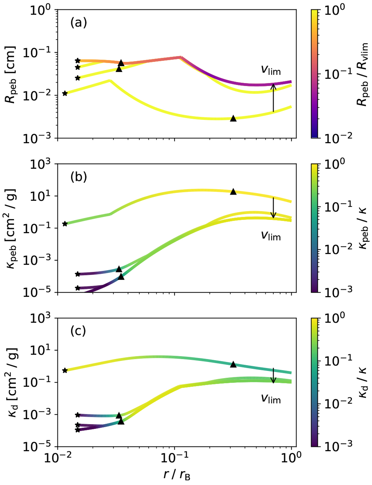
Pebble growth tracks (a), their resulting pebble opacity (b), and produced dust opacity (c) for a standard set of model runs at 5 AU (see Table 1). This figure is the same as Fig. 4, but now the mass is fixed at the default 5 M and the limiting velocity (Eq. (13)) is varied a logarithmically between 0.4− 40 m s−1.

Current usage metrics show cumulative count of Article Views (full-text article views including HTML views, PDF and ePub downloads, according to the available data) and Abstracts Views on Vision4Press platform.

Data correspond to usage on the plateform after 2015. The current usage metrics is available 48-96 hours after online publication and is updated daily on week days.

Initial download of the metrics may take a while.