Open Access

Fig. 4

image

Download original image

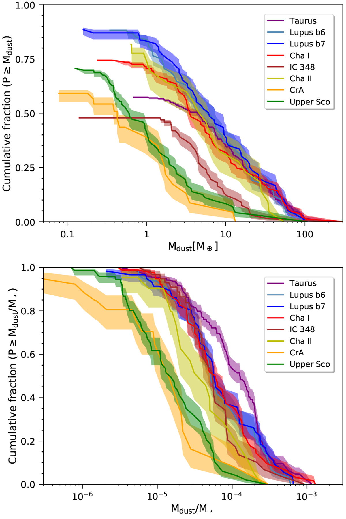
Cumulative distributions functions generated by the Kaplan-Meier estimator. Top: cumulative distribution of the dust mass, normalized by the fraction of detected sources in each star-forming regions. Bottom: cumulative distribution of the dust-to-stellar mass ratio. The bottom distributions include disks not detected in millimeter emission. Those are scattered over the distribution of Mdust /M (see Sect. 4.2.3). We indicate 1σ confidence intervals.

Current usage metrics show cumulative count of Article Views (full-text article views including HTML views, PDF and ePub downloads, according to the available data) and Abstracts Views on Vision4Press platform.

Data correspond to usage on the plateform after 2015. The current usage metrics is available 48-96 hours after online publication and is updated daily on week days.

Initial download of the metrics may take a while.