Free Access

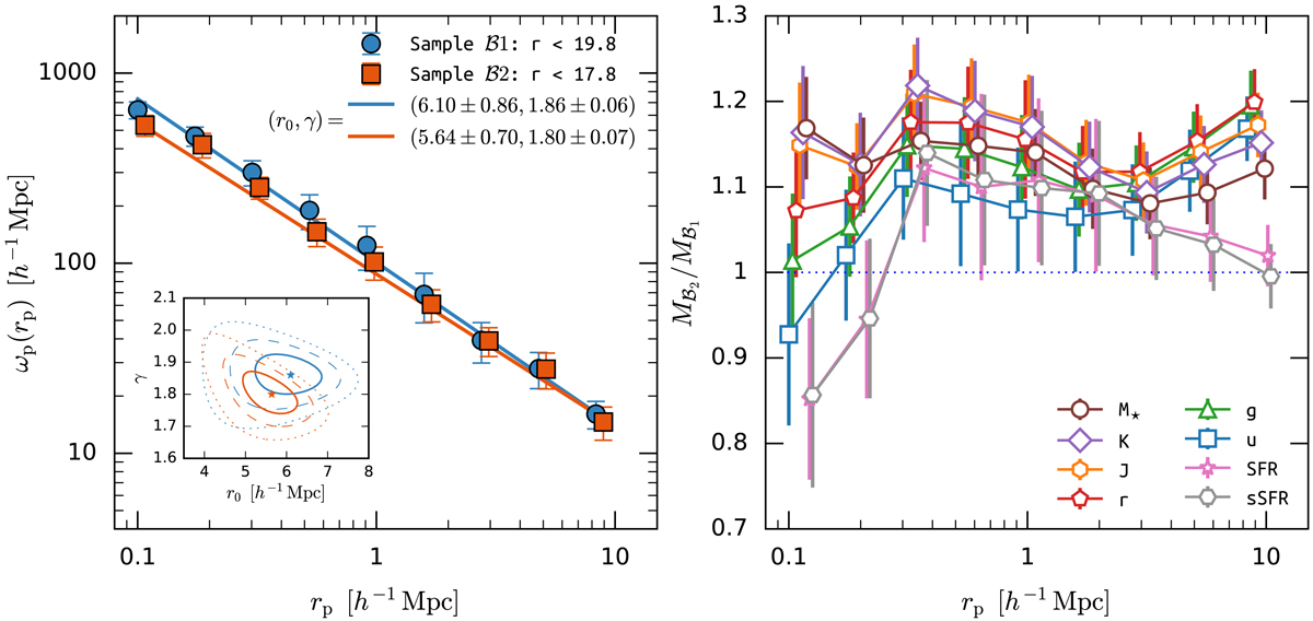
Fig. 6.

image

Download original image

Projected 2pCFs ωp(rp) for samples ℬ1 and ℬ2 (filled markers; left panel) and the ratio Mℬ2/Mℬ1 between MCFs obtained for these two samples (unfilled markers; right panel). The different symbols in the right panel represent the ratio between different MCFs measured with corresponding galaxy property chosen as a mark. Small offsets along x-axis have been added for clarity. The error bars for ωp(rp) are obtained from jackknife resampling method. The inset in the left panel shows the power-law fit parameters (filled stars) and their 1σ, 2σ, and 3σ error contours (solid, dashed, and dotted, respectively). In the right panel, the errors are calculated in quadrature.

Current usage metrics show cumulative count of Article Views (full-text article views including HTML views, PDF and ePub downloads, according to the available data) and Abstracts Views on Vision4Press platform.

Data correspond to usage on the plateform after 2015. The current usage metrics is available 48-96 hours after online publication and is updated daily on week days.

Initial download of the metrics may take a while.