Free Access

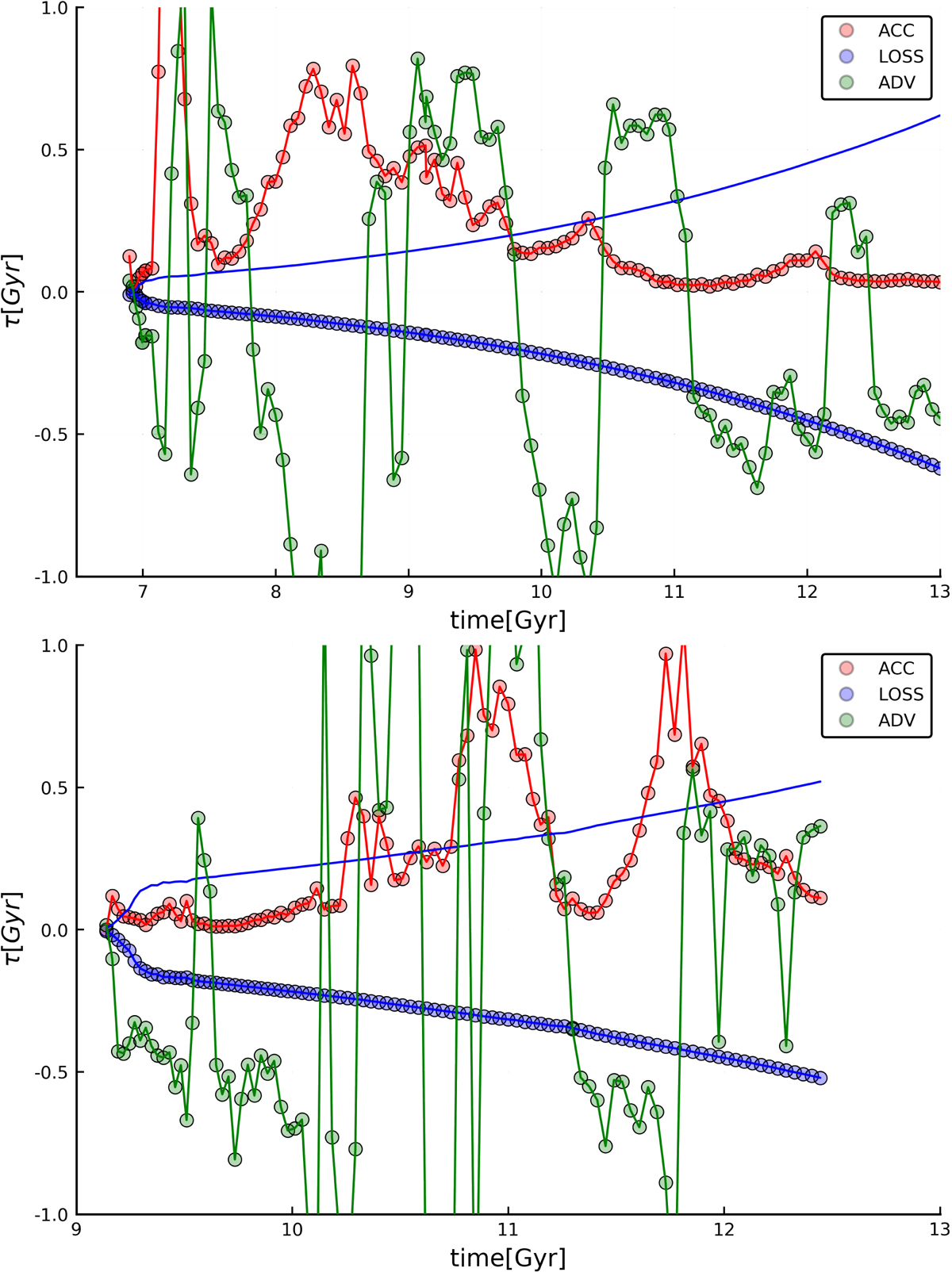
Fig. 11.

image

Download original image

Evolution of the median timescales for acceleration or losses (see Sect. 2.4) experienced by electrons (here, we consider γ = 103 as a reference) released by radio galaxies in Run1 (top) and Run2 (bottom). Timescales for loss terms and shown as negative, while timescales for gain terms are shown as positive (to ease the comparison with radiative losses, the latter timescale is also mirrored in the upper panel). The timescales for shock acceleration (τDSA) and for Coulomb losses (τC) are not visible as they are much smaller and much bigger, respectively, than the time range covered by the vertical axes in the plots.

Current usage metrics show cumulative count of Article Views (full-text article views including HTML views, PDF and ePub downloads, according to the available data) and Abstracts Views on Vision4Press platform.

Data correspond to usage on the plateform after 2015. The current usage metrics is available 48-96 hours after online publication and is updated daily on week days.

Initial download of the metrics may take a while.