Free Access

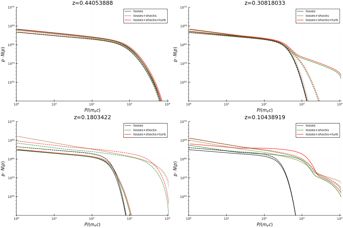
Fig. 13.

image

Download original image

Evolution of the spectral energy distributions of electrons emitted by the radio galaxy in Run2, for three different acceleration and cooling models (colours) and for three different radial ranges: r ≤ 300 kpc (solid), 300 kpc < r ≤ 600 kpc (dashed), and r > 600 kpc (dotted).

Current usage metrics show cumulative count of Article Views (full-text article views including HTML views, PDF and ePub downloads, according to the available data) and Abstracts Views on Vision4Press platform.

Data correspond to usage on the plateform after 2015. The current usage metrics is available 48-96 hours after online publication and is updated daily on week days.

Initial download of the metrics may take a while.