Open Access

Fig. A.5

image

Download original image

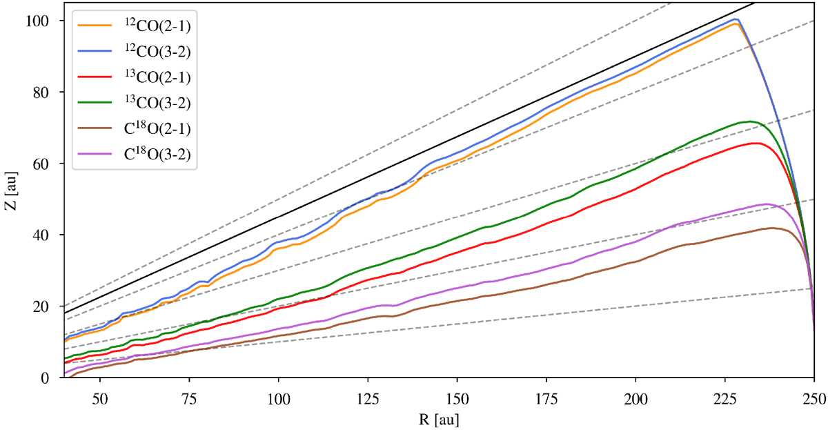
Radial profile of the disk layers where the disk becomes optically thick (τ = 1 surface), for different CO isotopologues of the VSI-unstable disk radiative transfer model. We illustrate the τ = 1 surface for the J:2–1 and J:3–2 transitions of three CO isotopologues, 12CO, 13CO and C18O. We assume a face-on disk orientation for the calculation. The gray dashed lines show where Z = AR for A =0.1;0.2;0.3;0.4 and 0.5. The solid black line shows the grid boundary in colatitude of the simulated disk, located approximately at Z = 0.45 R.

Current usage metrics show cumulative count of Article Views (full-text article views including HTML views, PDF and ePub downloads, according to the available data) and Abstracts Views on Vision4Press platform.

Data correspond to usage on the plateform after 2015. The current usage metrics is available 48-96 hours after online publication and is updated daily on week days.

Initial download of the metrics may take a while.