Open Access

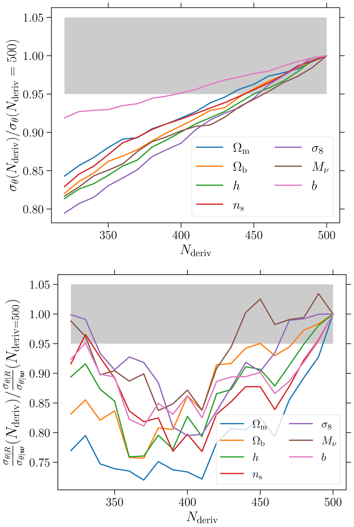
Fig. A.2.

image

Download original image

Marginalised one-sigma constraints by varying the number of simulations to compute the derivatives (top panel). Bottom panel shows the relative improvement of over ⟨w12|r12p. The parameters in consideration are the six cosmological parameters and one nuisance parameter (b) as shown in the legend. The grey horizontal band denotes the region where the variation in the constraints are within 5% compared to the constraint obtained using Nderiv = 500.

Current usage metrics show cumulative count of Article Views (full-text article views including HTML views, PDF and ePub downloads, according to the available data) and Abstracts Views on Vision4Press platform.

Data correspond to usage on the plateform after 2015. The current usage metrics is available 48-96 hours after online publication and is updated daily on week days.

Initial download of the metrics may take a while.