Free Access

Fig. 1

image

Download original image

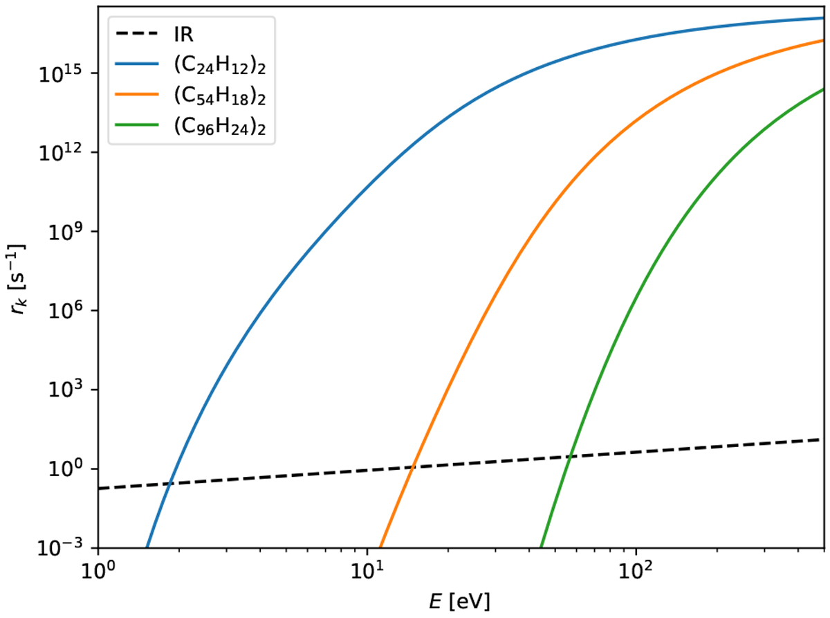
Comparison of photodissociation rates obtained from Eq. (6) of PAH dimers and IR cooling rates dashed for the three simulated molecules coronene (blue), circumcoronene (orange), and circumcircumcoronene (green). The transition from IR cooling as the dominant energy-loss channel to photodissociation is sharp.

Current usage metrics show cumulative count of Article Views (full-text article views including HTML views, PDF and ePub downloads, according to the available data) and Abstracts Views on Vision4Press platform.

Data correspond to usage on the plateform after 2015. The current usage metrics is available 48-96 hours after online publication and is updated daily on week days.

Initial download of the metrics may take a while.