Free Access

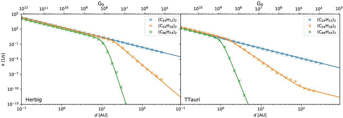
Fig. 3

image

Download original image

Dimer dissociation rates obtained by MC simulations (crosses) for coronene (blue), circumcoronene (orange), and circumcircumcoronene (green) calculated with Eq. (13) with the stellar parameters given in Table 1. In both cases, coronene dimers can be dissociated with single-photon events. For larger molecules, the dissociation rate decreases tremendously with G0 when the radiative equilibrium energy drops below the critical energy. The multiple power-law fits (lines) are used for interpolation in Fig. 4.

Current usage metrics show cumulative count of Article Views (full-text article views including HTML views, PDF and ePub downloads, according to the available data) and Abstracts Views on Vision4Press platform.

Data correspond to usage on the plateform after 2015. The current usage metrics is available 48-96 hours after online publication and is updated daily on week days.

Initial download of the metrics may take a while.