Free Access

Fig. 10.

image

Download original image

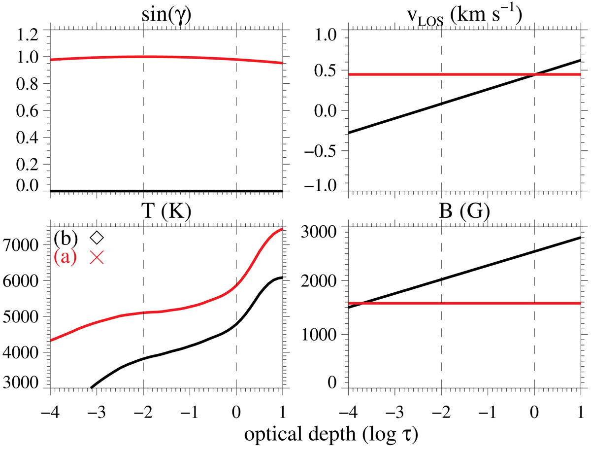
Atmospheric stratification of four physical parameters for two selected pixels (a) and (b) representing the penumbra (red line) and umbra (black line), respectively. Starting from the top left panel and moving clockwise: sine of the inclination, LOS velocity, magnetic field strength, and temperature. The position of the pixels is shown in Fig. 11 with a cross and diamond symbol. The retrieved information from the inversions is most reliable inside the dashed vertical lines, that is, between −2≤ log τ ≤0.

Current usage metrics show cumulative count of Article Views (full-text article views including HTML views, PDF and ePub downloads, according to the available data) and Abstracts Views on Vision4Press platform.

Data correspond to usage on the plateform after 2015. The current usage metrics is available 48-96 hours after online publication and is updated daily on week days.

Initial download of the metrics may take a while.