Free Access

Fig. 3

image

Download original image

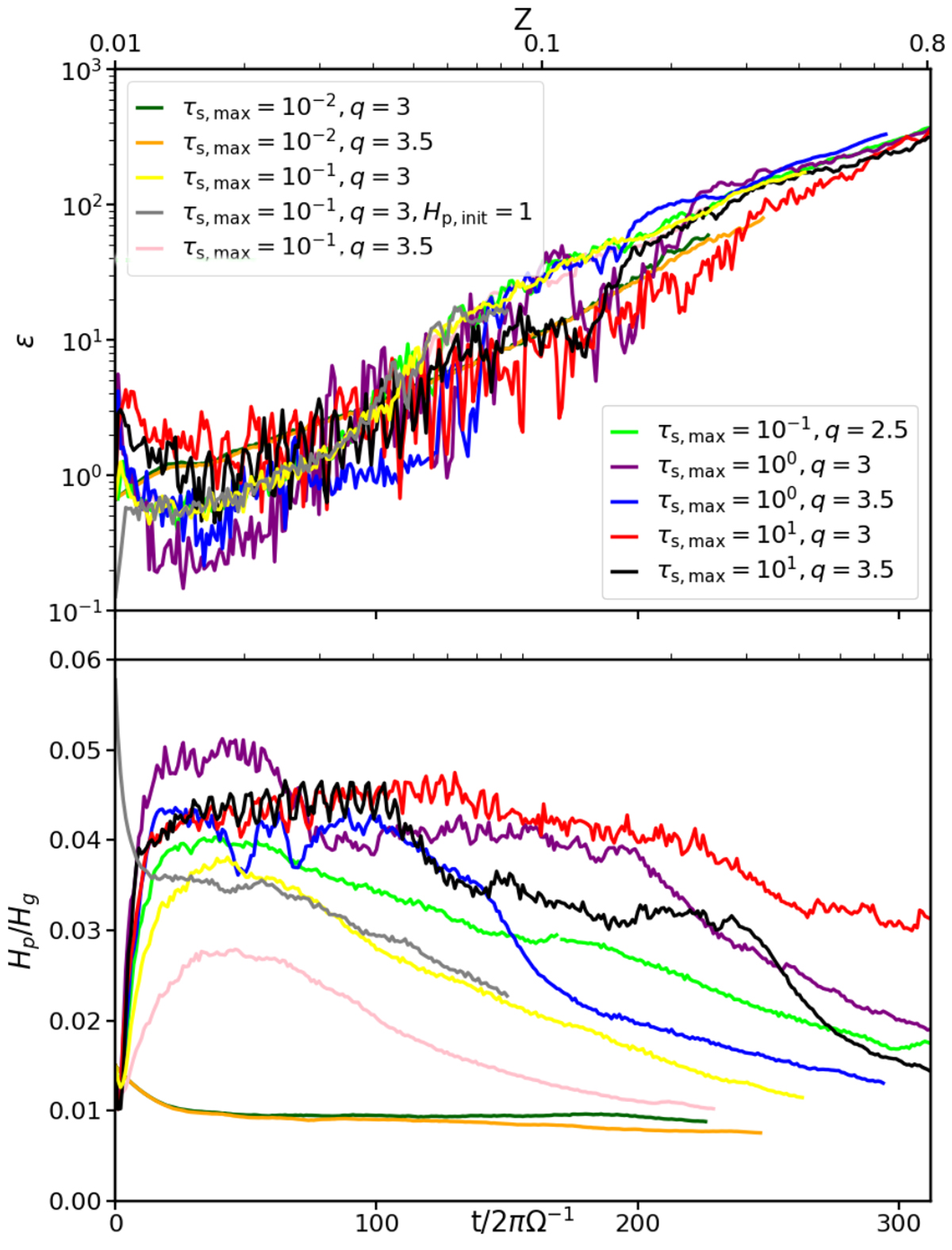
Average dust-to-gas ratio in the midplane (top panel) and particle scale height as a function of gas scale height (bottom panel) with respect to time for all Stokes number ranges and size distribution exponents with Np = 70 per cell. The initial particle scale height is Hp,init = 0.015Hg, except in thecase of the gray curves, where Hp,init = 1Hg. The metallicity is shown on the top axis. The top panel shows that ϵ is not significantly affected by the slope of the size distribution, but the short-time variations increase with τs,max. The bottom panel shows that the particle scale heights saturate closer to the midplane for small size ranges, but there is no clear trend for how HpHg changes as a function of q and τs,max.

Current usage metrics show cumulative count of Article Views (full-text article views including HTML views, PDF and ePub downloads, according to the available data) and Abstracts Views on Vision4Press platform.

Data correspond to usage on the plateform after 2015. The current usage metrics is available 48-96 hours after online publication and is updated daily on week days.

Initial download of the metrics may take a while.