Free Access

Fig. 13.

image

Download original image

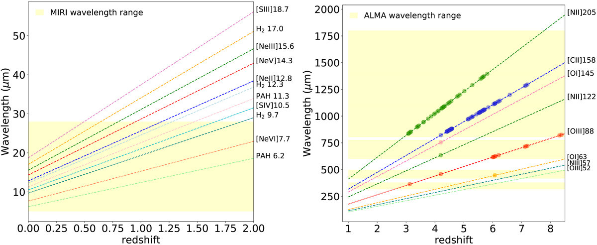
Left: observability of key mid-IR (dashed lines) lines compared to the JWST-MIRI instrument (shaded area) in the 0−1.6 redshift interval. Right: observability of key far-IR (dashed lines) lines compared to the ALMA bands (shaded area) in the 1−8 redshift interval. Dots represent current detection for each line.

Current usage metrics show cumulative count of Article Views (full-text article views including HTML views, PDF and ePub downloads, according to the available data) and Abstracts Views on Vision4Press platform.

Data correspond to usage on the plateform after 2015. The current usage metrics is available 48-96 hours after online publication and is updated daily on week days.

Initial download of the metrics may take a while.