Open Access

Fig. 5.

image

Download original image

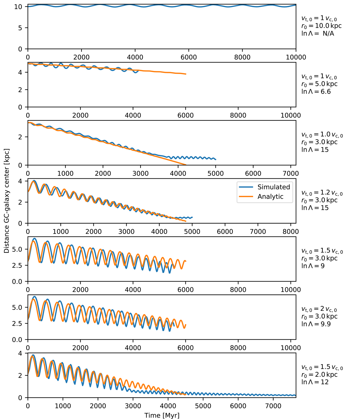
As in Fig. 4, but varying orbital parameters of the GC. The GC always had the mass of 106M. The first lines of the notes on the right of the panels indicate the initial tangential velocity of the GC with respect to the galaxy (the radial velocity was zero). It is given in the units of the local circular velocity. The second row indicates the initial galactocentric distance and the third the value of the Coulomb logarithm in the Sánchez-Salcedo formula that provides the best match of the simulation and analytic calculation.

Current usage metrics show cumulative count of Article Views (full-text article views including HTML views, PDF and ePub downloads, according to the available data) and Abstracts Views on Vision4Press platform.

Data correspond to usage on the plateform after 2015. The current usage metrics is available 48-96 hours after online publication and is updated daily on week days.

Initial download of the metrics may take a while.