Free Access

Fig. 11

image

Download original image

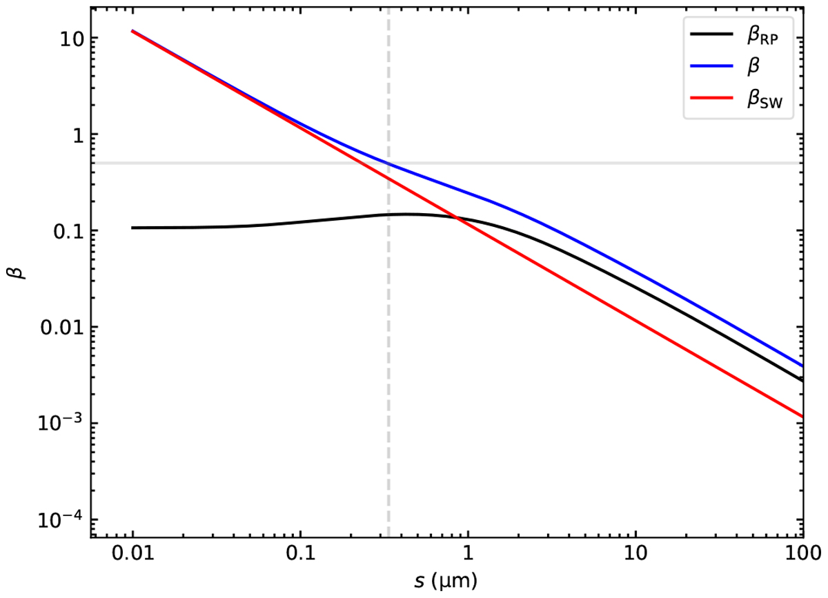
β as a functionof grain size. βRP and β are shown as black and blue lines, respectively. The horizontal solid gray line (β = 0.5) is the upper limit for bound trajectories assuming zero eccentricity for the parent body (see Sezestre et al. 2017 for further details). The vertical dashed line indicates the corresponding minimum required grain size (s = 0.34μm) of dust particles to not be expelled from the disk, assuming a porosity of 70%.

Current usage metrics show cumulative count of Article Views (full-text article views including HTML views, PDF and ePub downloads, according to the available data) and Abstracts Views on Vision4Press platform.

Data correspond to usage on the plateform after 2015. The current usage metrics is available 48-96 hours after online publication and is updated daily on week days.

Initial download of the metrics may take a while.