Free Access

Fig. B.1

image

Download original image

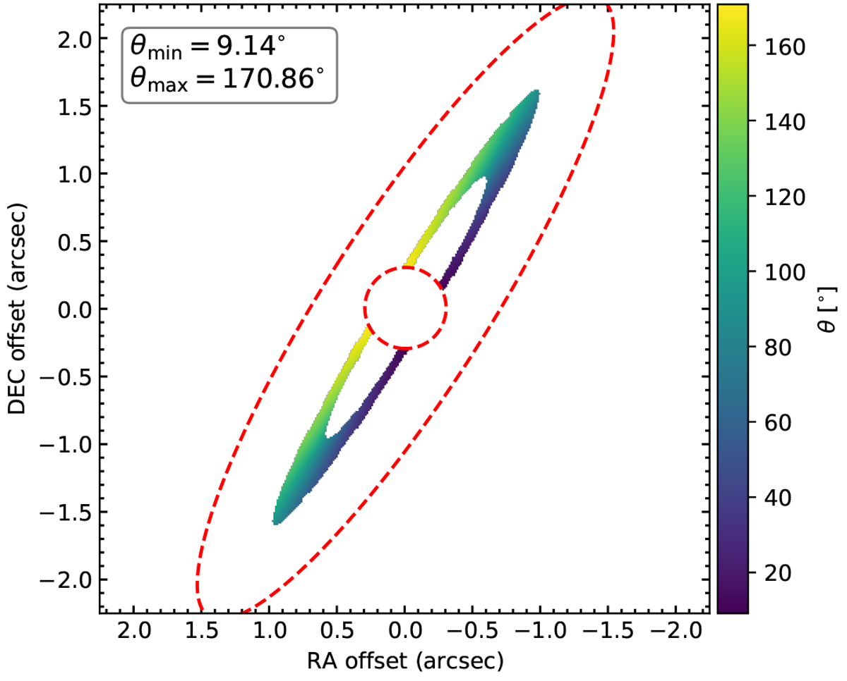
Distribution of possible scattering angle as a function of the model geometry obtained from our best-fit model of the disk. The inner and outer model boundaries are indicated by the circle and the ellipse in the image. Values within the circular mask or outside the ellipse are not considered in the modeling. North is to the top and east to the left.

Current usage metrics show cumulative count of Article Views (full-text article views including HTML views, PDF and ePub downloads, according to the available data) and Abstracts Views on Vision4Press platform.

Data correspond to usage on the plateform after 2015. The current usage metrics is available 48-96 hours after online publication and is updated daily on week days.

Initial download of the metrics may take a while.