Free Access

Fig. 6

image

Download original image

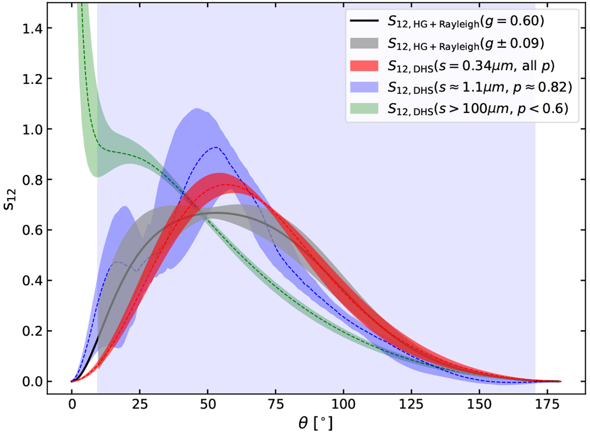
Polarized phase function (S12, HG) as a functionof scattering angle θ. Shown are the parameterized polarized phase functions from our best-fit disk model for g = 0.60 ± 0.09 (black line and gray area) and the range (red area, enclosing values between the 16% and 84% quartiles) of the best-fit model (s = 0.34μm, porosity = 0.01–0.99) of this phase function, considering a DHS. Additionally shown are the polarized phase functions resulting from the “low”-χ2 regions indicated in Fig. 5. The phase functions were sampled around grain sizes and porosities of about 1 μm and 0.80 (blue area) and grains larger than 100 μm and porosities below 0.6 (green area), respectively. The range of possible scattering angles (θ = 9.14° to θ = 170.86°) observable with the used mask is indicated by the blue shaded area.

Current usage metrics show cumulative count of Article Views (full-text article views including HTML views, PDF and ePub downloads, according to the available data) and Abstracts Views on Vision4Press platform.

Data correspond to usage on the plateform after 2015. The current usage metrics is available 48-96 hours after online publication and is updated daily on week days.

Initial download of the metrics may take a while.