Free Access

Fig. A.10

image

Download original image

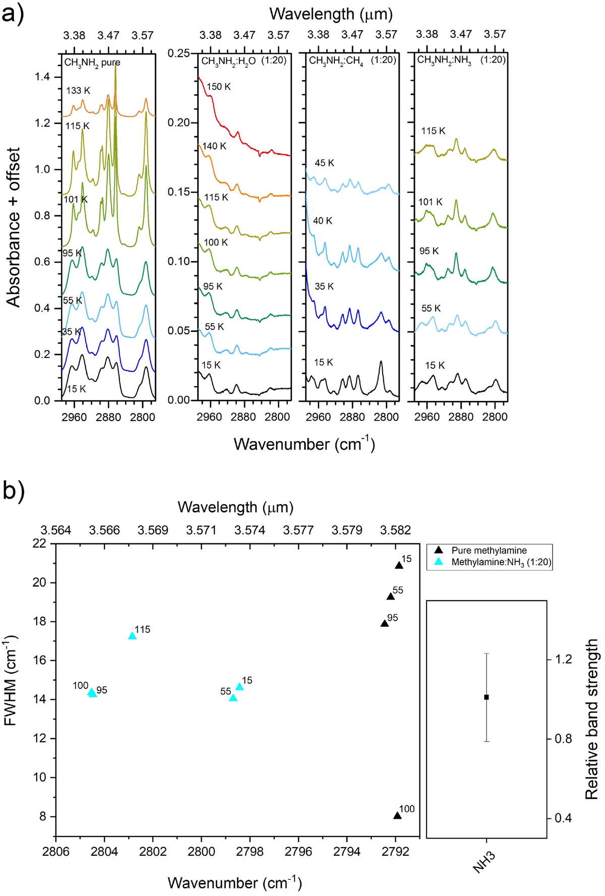
(a) 2750–3000 cm−1 region with spectra of different ices, from left to right: pure CH3NH2, CH3NH2:H2O (1:20), CH3NH2:CH4 (1:20), and CH3NH2:NH3 (1:20). The CH3 symmetric stretch mode of CH3NH2 (around 2792 cm−1) lays in the rightmost region in all the panels. (b) Left panel: peak position vs. FWHM for the CH3 symmetric stretch band in pure and CH3NH2:NH3 (1:10) ices. Right panel: relative band strength of the CH3 rock vibrational mode in different ice mixtures at 15 K. c same as b for the CH3 antisymmetric stretch band (around 2881 cm−1) in the ice mixtures displayed in a.

This figure is made of several images, please see below:

Current usage metrics show cumulative count of Article Views (full-text article views including HTML views, PDF and ePub downloads, according to the available data) and Abstracts Views on Vision4Press platform.

Data correspond to usage on the plateform after 2015. The current usage metrics is available 48-96 hours after online publication and is updated daily on week days.

Initial download of the metrics may take a while.