Free Access

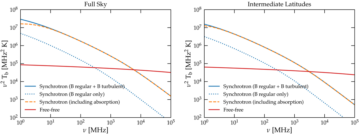
Fig. 5.

image

Download original image

Integrated spectra associated to the most relevant processes in the radio domain: synchrotron emission (without or with free–free absorption) and free–free emission. Left panel: full-sky integration. Right panel: intermediate-latitude region defined by 10° < b < 40°.

Current usage metrics show cumulative count of Article Views (full-text article views including HTML views, PDF and ePub downloads, according to the available data) and Abstracts Views on Vision4Press platform.

Data correspond to usage on the plateform after 2015. The current usage metrics is available 48-96 hours after online publication and is updated daily on week days.

Initial download of the metrics may take a while.