Free Access

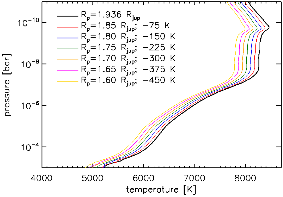
Fig. A.1

image

Download original image

Cloudy TP profiles computed considering different reference radii. The adopted TP profile is shown in black. For visualisation purposes, the TP profiles are rigidly shifted horizontally by the value indicated in the legend.

Current usage metrics show cumulative count of Article Views (full-text article views including HTML views, PDF and ePub downloads, according to the available data) and Abstracts Views on Vision4Press platform.

Data correspond to usage on the plateform after 2015. The current usage metrics is available 48-96 hours after online publication and is updated daily on week days.

Initial download of the metrics may take a while.