Free Access

Fig. C.1

image

Download original image

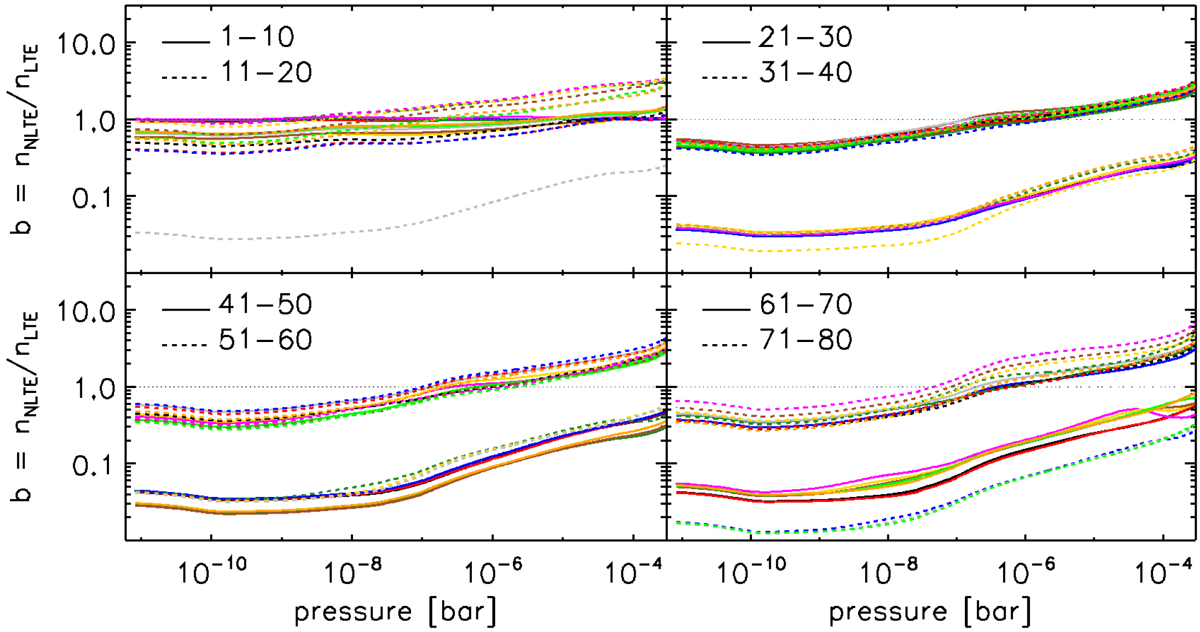
Departure coefficients as a function of atmospheric pressure for the first 80 energy levels of FeI. The energy levels are numbered from 1 to 80, and are separated into groups of ten levels and two line styles (solid and dashed) for each panel. Within each group of ten energy levels, the order of the line colors corresponding to increasing energy is black, red, blue, dark green, magenta, yellow, brown, grey, bright green, and orange. Therefore, the black solid line shows b for the ground state (i.e. n = 1 level), the red solid line shows b for n = 2 level, the blue solid line shows b for the n = 3 level, and the black dashed line shows b for the n = 11 level, and so on. The dotted line (at 1.0) indicating nNLTE = nLTE is for reference. The departure coefficients appear to be diverging from 1.0 with increasing pressure to reach 1.0 in the lower atmosphere, the latest around the 0.2 bar level, at which point all departure coefficients are equal to one.

Current usage metrics show cumulative count of Article Views (full-text article views including HTML views, PDF and ePub downloads, according to the available data) and Abstracts Views on Vision4Press platform.

Data correspond to usage on the plateform after 2015. The current usage metrics is available 48-96 hours after online publication and is updated daily on week days.

Initial download of the metrics may take a while.