Free Access

Fig. 4

image

Download original image

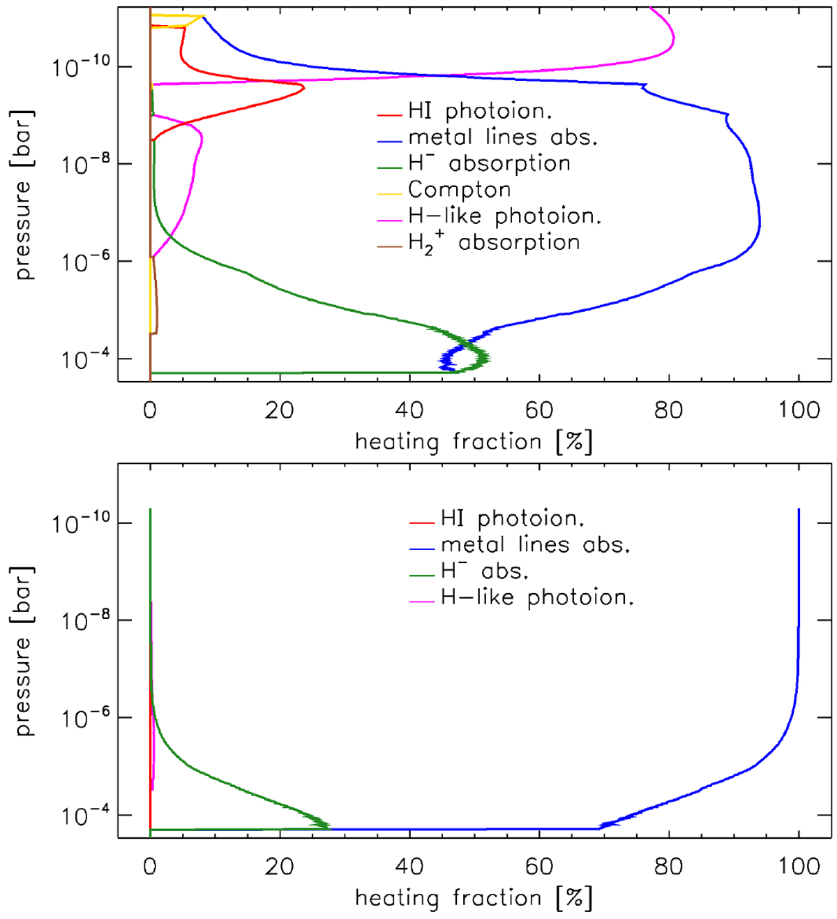
Heating contribution (in %) of the three most important heating processes at each atmospheric layer as a function of pressure extracted from the NLTE (top) and LTE (bottom) Cloudy runs. The relevant heating processes occurring in the upper atmosphere are hydrogen photoionisation (red; photoionisation of HI lying in the ground state), metal line absorption (blue), H absorption (green), Compton heating (i.e. electron absorption; yellow), photoionisation of hydrogenic species (photoionisation of excited HI; magenta), and H absorption (brown). Metal absorption is the main heating contributor at pressures ranging between about 5 × 10−5 and 10−10 bar, where the atmospheric temperature increases steeply and reaches its maximum. The heating fraction of any given process is artificially set equal to zero in the atmospheric regions in which the heating process is not among the three most important ones.

Current usage metrics show cumulative count of Article Views (full-text article views including HTML views, PDF and ePub downloads, according to the available data) and Abstracts Views on Vision4Press platform.

Data correspond to usage on the plateform after 2015. The current usage metrics is available 48-96 hours after online publication and is updated daily on week days.

Initial download of the metrics may take a while.