Free Access

Fig. 5

image

Download original image

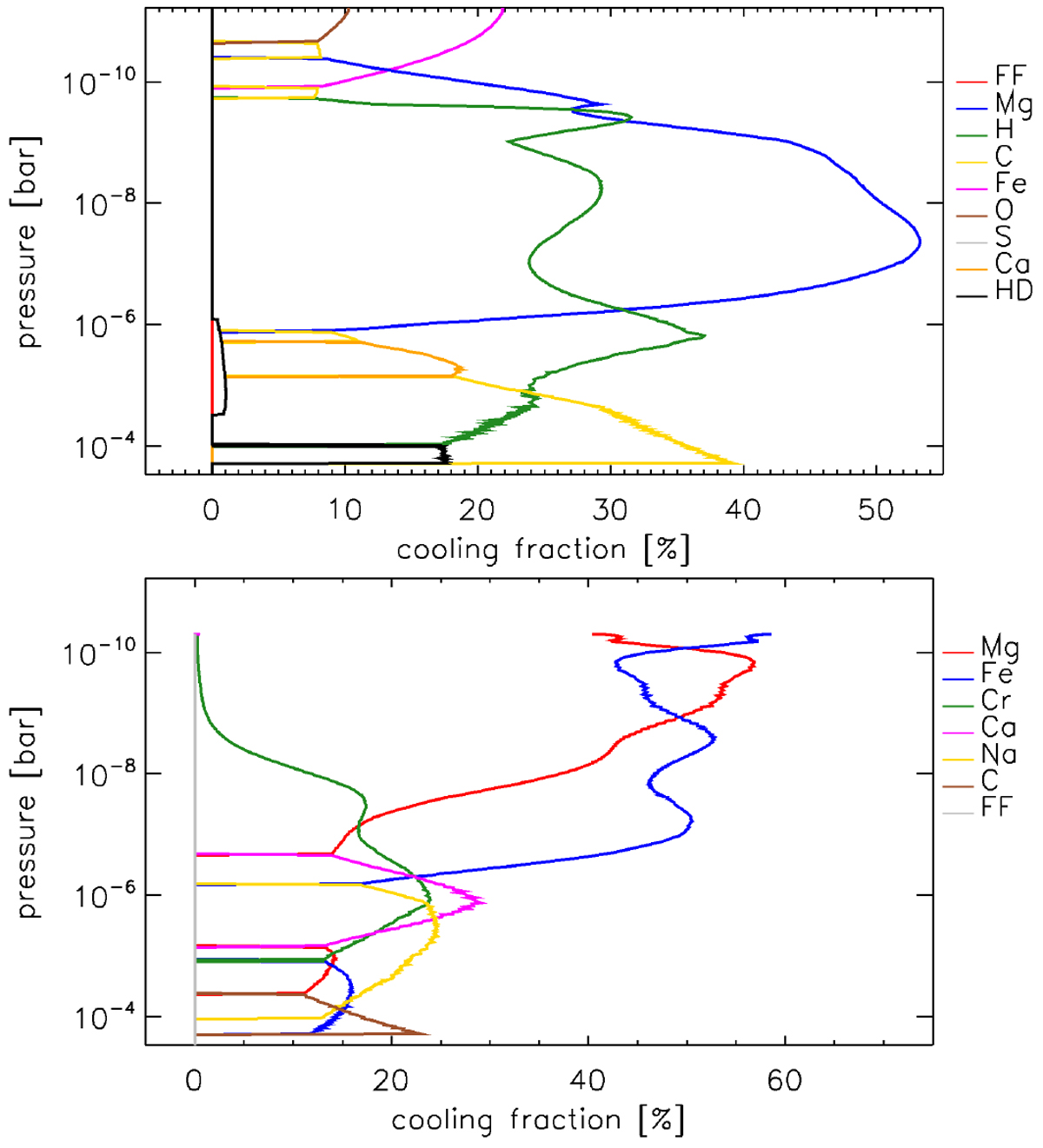
Cooling contribution (in %) of the three most important cooling processes or species at each atmospheric layer as a function of pressure obtained from the Cloudy NLTE (top) and LTE (bottom) runs. The label “FF” indicates free-free cooling from H and He. The cooling fraction of any given species is artificially set equal to zero in the atmospheric regions where the species producing the cooling is not one of the three most important. Magnesium is the species most contributingto the cooling of the upper atmosphere.

Current usage metrics show cumulative count of Article Views (full-text article views including HTML views, PDF and ePub downloads, according to the available data) and Abstracts Views on Vision4Press platform.

Data correspond to usage on the plateform after 2015. The current usage metrics is available 48-96 hours after online publication and is updated daily on week days.

Initial download of the metrics may take a while.