Free Access

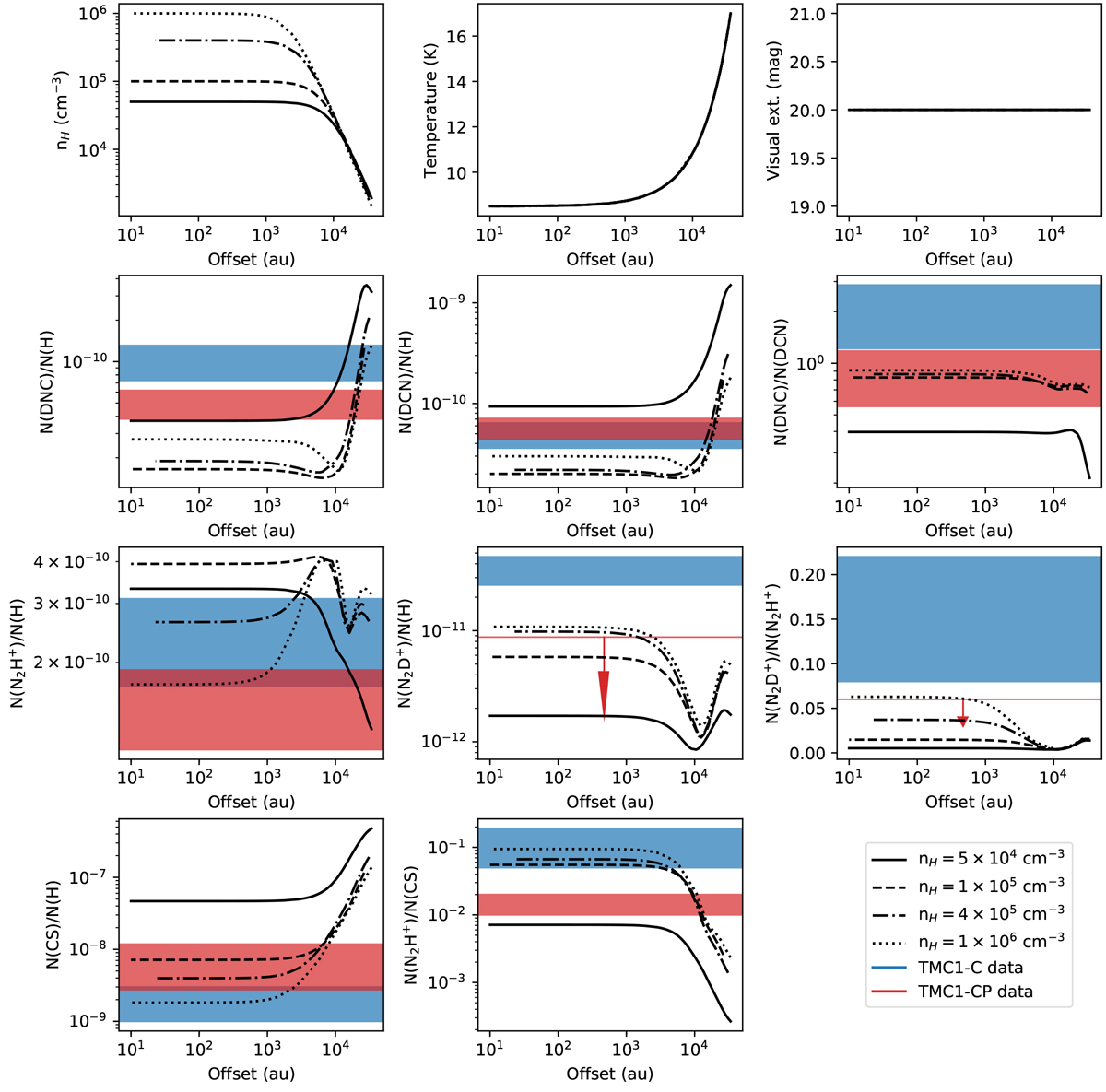
Fig. D.1

image

Download original image

Predicted abundances along the line of sight (black) of the different BES1 collapse models with densities 5 × 104 (solid), 105 (dashed), 4 × 105 (dot-dashed), and 1 × 106 cm−3 (dotted). The observational data at the center of the starless cores are plotted in blue (TMC 1-C) and red (TMC 1-CP). The arrows indicate upper bounds.

Current usage metrics show cumulative count of Article Views (full-text article views including HTML views, PDF and ePub downloads, according to the available data) and Abstracts Views on Vision4Press platform.

Data correspond to usage on the plateform after 2015. The current usage metrics is available 48-96 hours after online publication and is updated daily on week days.

Initial download of the metrics may take a while.