Free Access

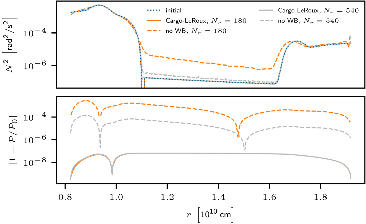
Fig. 3.

image

Download original image

Profiles of the BVF (upper panel) and relative change in pressure (lower panel) after simulating 10 h of physical time with and without well-balancing. Nr denotes the number of radial cells that are used for the discretization.

Current usage metrics show cumulative count of Article Views (full-text article views including HTML views, PDF and ePub downloads, according to the available data) and Abstracts Views on Vision4Press platform.

Data correspond to usage on the plateform after 2015. The current usage metrics is available 48-96 hours after online publication and is updated daily on week days.

Initial download of the metrics may take a while.