Free Access

Fig. 8.

image

Download original image

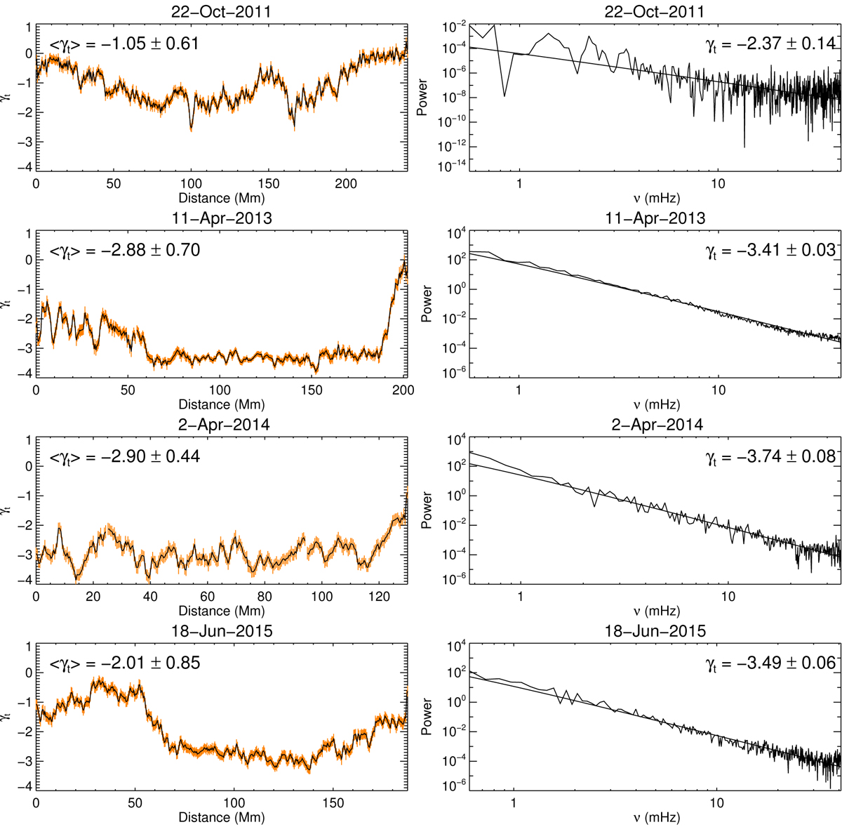
Structure of supra-arcade EUV emission in terms of temporal frequency. The power spectrum of any horizontal slice in the time-distance diagram (panel c of Figs. 25) is fitted with a power-law function. The spatial variation of the power-law index γt along each slit (panel a in Figs. 25) is shown in the left panels. The orange bars indicate the 1σ uncertainty estimates in the fittings. The power spectrum of the time-distance diagram collapsed along the distance axis is shown in the right panels.

Current usage metrics show cumulative count of Article Views (full-text article views including HTML views, PDF and ePub downloads, according to the available data) and Abstracts Views on Vision4Press platform.

Data correspond to usage on the plateform after 2015. The current usage metrics is available 48-96 hours after online publication and is updated daily on week days.

Initial download of the metrics may take a while.