Free Access

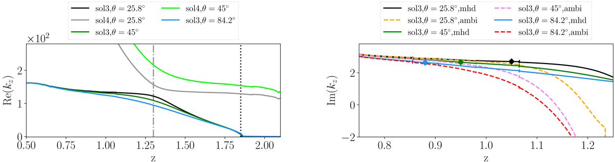
Fig. 11.

image

Download original image

Comparison of the analytical results when the angle between the magnetic field and the direction of propagation is varied, corresponding to the cases shown in Figs. 79. Left: solutions 3 and 4 for the real part of the vertical wavenumber kz corresponding to the cases P (θ = 25.8°), and G (θ = 45°), as well as Solution 3 for case P-f (θ = 84.2°). The vertical dot-dashed gray line at z = 1.3 Mm, which is also present in left panel of Fig. 10, marks the equipartition layer. The vertical dotted black line at z = 1.85 Mm shows the reflection height. Right: solution 3 for the imaginary part of the vertical wavenumber kz corresponding to the three cases P (θ = 25.8°), G (θ = 45°) and P-f (θ = 84.2°), for both MHD and ambipolar cases. The points where the imaginary part diverges in the ambipolar case compared to the MHD case are indicated with markers in the panel.

Current usage metrics show cumulative count of Article Views (full-text article views including HTML views, PDF and ePub downloads, according to the available data) and Abstracts Views on Vision4Press platform.

Data correspond to usage on the plateform after 2015. The current usage metrics is available 48-96 hours after online publication and is updated daily on week days.

Initial download of the metrics may take a while.