Free Access

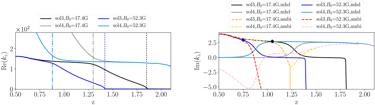
Fig. 15.

image

Download original image

Relevant solutions (3 and 4) of the local dispersion relation for the real (left) and imaginary (right) part of the vertical wavenumber kz corresponding to the cases P (B0 = 17.4G) and P-b (B0 = 52.3). The MHD solutions are indicated by solid lines in both panels. Left panel: the reflection heights for the fast component are indicated by black and blue vertical dotted lines for P and P-b, respectively. The equipartition heights are shown with a gray and light blue vertical dot-dashed lines for P and P-b, respectively. Right panel: we also show Solutions 3 and 4 for the ambipolar cases with dashed lines. The points where the ambipolar and MHD Solution 3 (fast modes) diverge are indicated by the markers for both P (black marker) and P-b (blue marker) cases.

Current usage metrics show cumulative count of Article Views (full-text article views including HTML views, PDF and ePub downloads, according to the available data) and Abstracts Views on Vision4Press platform.

Data correspond to usage on the plateform after 2015. The current usage metrics is available 48-96 hours after online publication and is updated daily on week days.

Initial download of the metrics may take a while.