Free Access

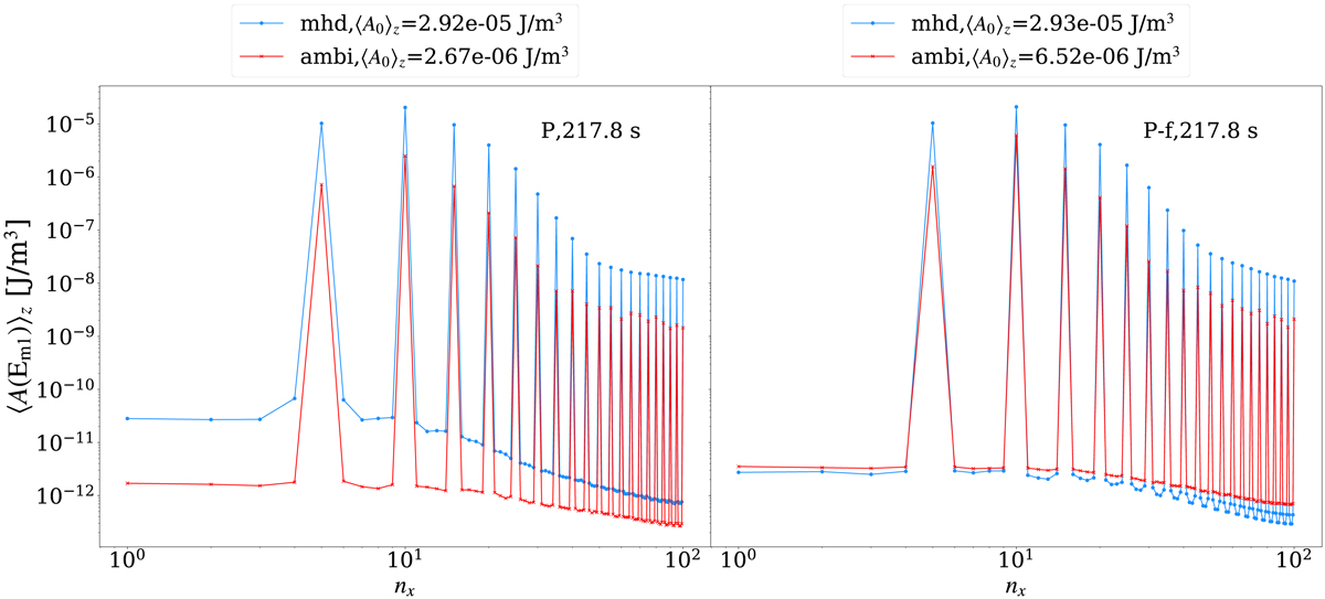
Fig. 19.

image

Download original image

Fourier amplitudes of the magnetic energy perturbation for the MHD simulations and the simulations with ambipolar effect included as a function of the horizontal mode number for the cases: P (left) and P-f (right). The amplitudes are calculated by a FFT transform in the x-direction for a snapshot taken at time t = 217.8 s and averaged in height between 0.8 Mm and 1.7 Mm.

Current usage metrics show cumulative count of Article Views (full-text article views including HTML views, PDF and ePub downloads, according to the available data) and Abstracts Views on Vision4Press platform.

Data correspond to usage on the plateform after 2015. The current usage metrics is available 48-96 hours after online publication and is updated daily on week days.

Initial download of the metrics may take a while.