Free Access

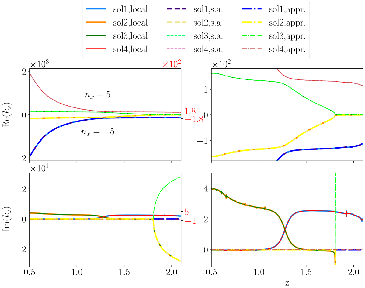
Fig. A.1.

image

Download original image

Case P: four solutions of the dispersion relation for the MHD case in the three approximations: local dispersion relation, self-adjoint operator, approximate dispersion relation. Right panels: zoom in the left panels for the limits shown as red ticks on the right axis of the left panels.

Current usage metrics show cumulative count of Article Views (full-text article views including HTML views, PDF and ePub downloads, according to the available data) and Abstracts Views on Vision4Press platform.

Data correspond to usage on the plateform after 2015. The current usage metrics is available 48-96 hours after online publication and is updated daily on week days.

Initial download of the metrics may take a while.