Free Access

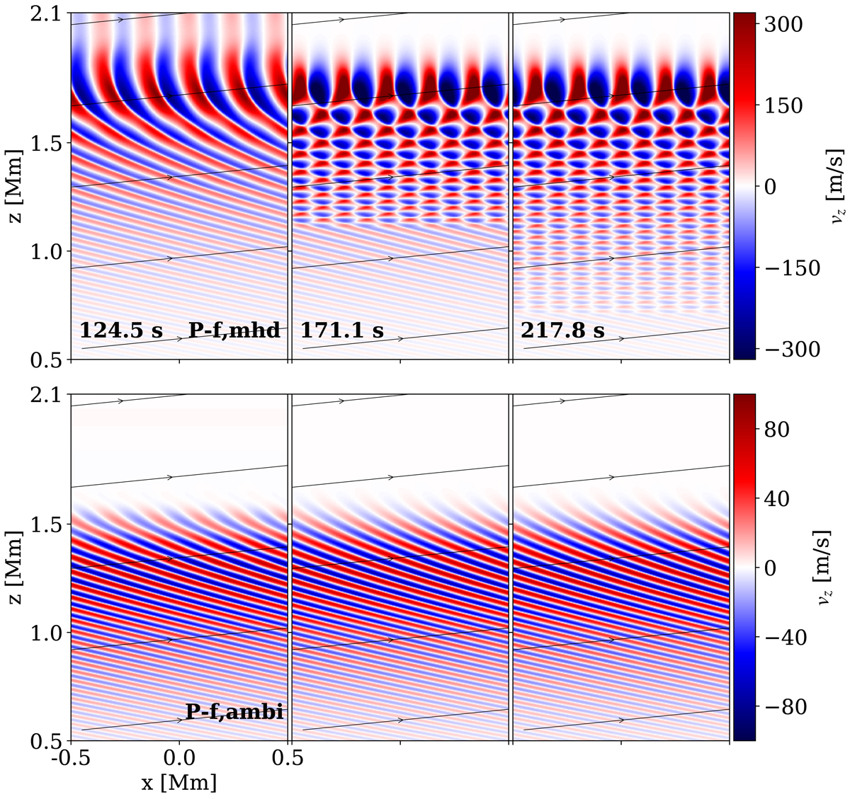
Fig. 9.

image

Download original image

Snapshots of vertical velocity for P-f simulation in the MHD case (top row) and ambipolar case (bottom row) at three different moments. We note the difference in the interference patterns, which is almost absent for the ambipolar case.

Current usage metrics show cumulative count of Article Views (full-text article views including HTML views, PDF and ePub downloads, according to the available data) and Abstracts Views on Vision4Press platform.

Data correspond to usage on the plateform after 2015. The current usage metrics is available 48-96 hours after online publication and is updated daily on week days.

Initial download of the metrics may take a while.